Libro II, Título II, Letra C Publicidad y Comercialización de Cotizaciones Voluntarias, Depósitos Convenidos y Depósitos de Ahorro Previsional Colectivo
Capítulo I. Publicidad
Materias asociadas: Cotización voluntaria / Depósito convenido / Depósito de Ahorro Previsional Colectivo
1. La publicidad, promoción, auspicio o entrega de información que las Administradoras efectúen a los trabajadores, empleadores o público en general por cualquier medio, incluyendo aquella que se efectúe a través de sus Sitios Web u otros medios electrónicos o digitales, sobre cotizaciones voluntarias, depósitos convenidos y aportes de ahorro previsional voluntario colectivo, quedará sometida a las normas del presente Título. Se excluirá de esta disposición toda información proporcionada a los trabajadores que fundada en sus circunstancias personales, sólo mire su interés particular.
2. La Letra C sobre publicidad del Título III del Libro V que regula las Agencias y Centros de Servicios, Servicios por Internet y Publicidad de las Administradoras de Fondos de Pensiones no será aplicable a la publicidad, promoción e información que sobre cotizaciones voluntarias, depósitos convenidos y aportes de ahorro previsional voluntario colectivo efectúen las Administradoras, las que se regirán por las normas especiales que se contemplan en este Título.
3. La publicidad deberá ajustarse en todo momento a la verdad. No serán aceptables expresiones que directa o indirectamente, o en forma deliberada o no, produzcan ambigüedad en cuanto al contenido del mensaje publicitado.
4. Las normas que contiene el presente Título se harán extensivas a la publicidad e información entregada al público en general por cualquier medio, físico o electrónico, por los agentes de venta, los comisionistas independientes y las personas jurídicas subcontratadas para desempeñar las funciones definidas en este Título.
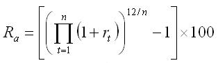
5. La rentabilidad que las Administradoras utilicen en su publicidad sobre cotizaciones voluntarias, depósitos convenidos y aportes de ahorro previsional voluntario colectivo deberá calcularse de acuerdo con la fórmula que se señala y basarse en información que entregará esta Superintendencia:
Rentabilidad real mensual
Donde:
rt : Rentabilidad real mensual de la cuota deflactada por la U.F.
VCt : Valor cuota al último día del mes t.
VCt-1: Valor cuota al último día del mes anterior a t.
Ct: Comisión porcentual sobre el saldo vigente al mes t.
UFt: Valor de la Unidad de Fomento al último día del mes t.
UFt-1: Valor de la Unidad de Fomento al último día del mes anterior a t.
Rentabilidad real anualizada
Ra: Rentabilidad real anualizada.
rt: Rentabilidad real mensual de la cuota deflactada por la U.F.
n: Número de meses del período considerado.
6. Las comisiones que podrán promocionar o publicitar las Administradoras por cotizaciones voluntarias y depósitos convenidos serán las que se encuentren vigentes al momento de efectuar la publicación del aviso.
7. Los cambios a la estructura de comisiones de las cotizaciones voluntarias y depósitos convenidos deberán informarse simultáneamente a esta Superintendencia y a los trabajadores a lo menos con 30 días de anticipación a la fecha en que comiencen a regir, indicando las vigentes, las futuras y la fecha de aplicación de estas últimas. La comunicación a los trabajadores deberá hacerse a través de uno de los tres diarios de mayor circulación del domicilio social de la Administradora.
8. Las Administradoras no podrán realizar publicidad sobre comisiones de Ahorro Previsional Voluntario Colectivo.
9. La publicidad referida a cotizaciones voluntarias, depósitos convenidos y aportes de ahorro previsional voluntario colectivo no podrá confundirse con la promoción de las cotizaciones obligatorias ni ser destinada a inducir las afiliaciones y/o los traspasos de trabajadores.
10. Tratándose de publicidad efectuada en forma conjunta con las instituciones autorizadas que ofrecen Planes de Ahorro Previsional Voluntario, las AFP sólo podrán incluir como producto en ella, las cotizaciones voluntarias, depósitos convenidos y aportes de ahorro previsional voluntario colectivo.

