Libro III, Título I, Letra D Pensión de Invalidez
Capítulo VII. Segundo dictamen de invalidez
Materias asociadas: Pensión de Invalidez
1. Rechaza la Invalidez del Afiliado
En el caso de que el segundo dictamen rechazare la invalidez de un afiliado, la Administradora deberá:
a) Realizar el último pago de pensión en el mes en que el dictamen quede ejecutoriado.
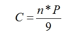
b) Si se trata de un afiliado cubierto por el seguro, enterar la contribución a más tardar el día 25 del mes siguiente a aquel en quede ejecutoriado el dictamen que rechace la invalidez, de acuerdo a lo siguiente:
Donde:
C: Contribución
n: Número de meses en que el afiliado efectivamente percibió pensión transitoria de invalidez, esto es, número de meses transcurridos desde la fecha en que se devengó la pensión de invalidez y la fecha en que quedó ejecutoriado el segundo dictamen, menos los meses en que al afiliado se le hubiere suspendido la pensión por no presentación, expresado con dos decimales.
Nota de actualización: La variable "N" original fue reemplazada por "n" por la Norma de Carácter General Nº 27, de fecha 7 de noviembre de 2011.
P: Monto mensual de la pensión transitoria de invalidez (UF)
c) Archivar en el expediente el dictamen y la Resolución, si procediere, y
d) Dar por finalizado el trámite de pensión de invalidez.
2. No concurrencia a ser evaluado
En el caso de que la Administradora fuere notificada por la Comisión Médica Regional respecto de la no concurrencia del afiliado a ser reevaluado, la Administradora deberá:
a) Suspender la pensión del afiliado.
b) Dar por finalizado el trámite, si al cabo de tres meses contados desde la notificación de la Comisión Médica Regional, aún no se presentare el afiliado.
Si no obstante haber suscrito el afiliado su solicitud de reevaluación de invalidez, la Administradora es notificada por la Comisión Médica Regional de la circunstancia que el afiliado inválido no ha concurrido a sus citaciones o habiendo concurrido no se ha sometido a los exámenes, peritajes o interconsultas médicas requeridas, la Administradora deberá retener el pago de la pensión transitoria desde la fecha del Oficio que contenga la notificación del hecho por parte de la Comisión Médica Regional.
Si transcurrido el plazo de tres meses el afiliado no ha concurrido a la Comisión Médica para completar la reevaluación de su invalidez, ésta procederá a emitir un Segundo Dictamen que rechazará el derecho a pensión de invalidez, fundado en la imposibilidad de pronunciarse, revocando de ese modo el primer dictamen de invalidez.
Si por el contrario, durante el plazo de tres meses el afiliado concurre a la Comisión Médica y continúa con el proceso de reevaluación, la Comisión notificará ese hecho a la Administradora, con la finalidad que reanude el pago de pensión y proceda a pagar además los montos retenidos.
c) Tratándose de afiliados cubiertos por el seguro, a más tardar el día 25 del mes siguiente a aquel en que se dé por finalizado el trámite, enterar la contribución, de acuerdo a la letra b) anterior.
3. Aprueba la invalidez del afiliado
La Administradora ante un segundo dictamen ejecutoriado que ratifique una invalidez parcial o la declare total deberá:
a) Solicitar la liquidación del Bono de Reconocimiento, dentro de los 10 días hábiles siguientes a la notificación de la ejecutoria del correspondiente dictamen, en el caso de afiliados cubiertos y con derecho al referido documento.
b) Enterar el aporte adicional determinado conforme a lo señalado en Anexo N° 6 de este Título de las Pensiones, para los afiliados cubiertos, a más tardar a los 12 días hábiles de haberse liquidado el Bono de Reconocimiento o de haber quedado ejecutoriado dictamen, en el caso de afiliados sin derecho a Bono de Reconocimiento.
Nota de actualización: Esta letra fue modificada por la Norma de Carácter General Nº 27, de fecha 7 de noviembre de 2011.
c) Constituir el Saldo Retenido en el caso de afiliados declarados inválidos parciales definitivos.
Se entenderá por saldo retenido el 30% del saldo de la cuenta de capitalización individual por concepto de cotizaciones obligatorias, a la fecha en que quedó ejecutoriado el segundo dictamen, incluido el o los Bonos de Reconocimiento y su Complemento, si correspondiere. Este saldo debe constituirse en el mismo Fondo en que se encuentra el Saldo de la Cuenta de Capitalización Individual por Cotizaciones Obligatorias, SCCICO. Si al momento de constituirse el Saldo Retenido el SCCICO estuviera en más de un Tipo de Fondo, el Saldo Retenido mantendrá proporcionalmente dicha distribución.
Este saldo se destinará a recalcular el monto de la pensión que el afiliado estuviere percibiendo o a financiar una nueva pensión de acuerdo a lo establecido en el inciso sexto del artículo 69, cuando ocurra alguna de las siguientes situaciones:
i. La invalidez sea declarada total, para ello el afiliado declarado inválido parcial definitivo cuando considere que se ha incrementado su grado de invalidez deberá suscribir una solicitud de reevaluación a fin que la Comisión Médica Regional emita el dictamen correspondiente, si determina que el afiliado presenta una pérdida en su capacidad general de trabajo de lo menos dos tercios.
ii. Se acoja a pensión de vejez anticipada, en cuyo caso el pensionado por invalidez parcial definitiva deberá suscribir una solicitud de pensión de vejez anticipada y cumplir los requisitos que se señalan en el número 4 del Capítulo I de la Letra C del presente Título.
Nota de actualización: Este numeral fue modificado por la Norma de Carácter General Nº 27, de fecha 7 de noviembre de 2011.
iii. Cumpla la edad legal para pensionarse por vejez, en cuyo caso deberá suscribir una solicitud de pensión de vejez edad.
Tratándose de las situaciones establecidas en los numerales ii. y iii. anteriores, la Administradora de Fondos de Pensiones deberá extender a los afiliados inválidos parciales definitivos que lo soliciten, un certificado que acredite que se ha liberado el Saldo Retenido, de acuerdo a lo establecido en el párrafo precedente, con el único fin de que éstos puedan efectuar el giro único del artículo 19 de la Ley N° 19.728, sobre Seguro de Cesantía. Esta certificación deberá quedar a disposición de los afiliados a más tardar, el día hábil siguiente al de la solicitud. Alternativamente, las AFP y la AFC podrán acordar una consulta electrónica, para tales efectos.
Nota de actualización: Este párrafo fue agregado por la Norma de Carácter General Nº 196, de fecha 24 de febrero de 2017.
Para el cálculo del saldo retenido no se considerarán las cotizaciones realizadas durante el período transitorio, a que se refiere el inciso tercero del artículo 4°.
d) Determinar el requisito para retirar excedente de libre disposición.
e) En todos aquellos casos en que el saldo de la cuenta individual destinado a pensión sea suficiente para financiar una pensión igual o superior a dos Unidades de Fomento se deberá emitir el certificado de saldo de acuerdo a lo dispuesto en el Anexo N° 4 de este Título I de las Pensiones.
Simultáneamente se deberá notificar de su emisión al afiliado y remitir al SCOMP el certificado electrónico de saldo y la información de retiros programados que dispone el Título II de este Libro.
Nota de actualización: Esta letra fue modificado por la Norma de Carácter General Nº 27, de fecha 7 de noviembre de 2011. Posteriormente, fue modificada por la Norma de Carácter General Nº 343, de fecha 5 de agosto de 2025.
f) Si los fondos de la cuenta individual del afiliado destinados a pensión no fueran suficientes para financiar pensiones iguales o superiores a dos Unidades de Fomento deberá emitir la ficha de cálculo de Retiro Programado y pagar las pensiones de acuerdo a dicha modalidad.
Nota de actualización: Esta letra fue modificado por la Norma de Carácter General Nº 27, de fecha 7 de noviembre de 2011.Posteriormente fue modificada por la Norma de Carácter General Nº 343, de fecha 5 de agosto de 2025.
g) Los afiliados declarados inválidos parciales, una vez ejecutoriado el segundo dictamen, podrán acogerse a alguna de las modalidades de pensión que señala el artículo 61. Sin embargo, para el financiamiento de la pensión, no podrá considerarse el saldo retenido.
Los afiliados declarados inválidos parciales con derecho al pago de pensiones conforme a un segundo dictamen, no podrán retirar excedentes de libre disposición, según lo dispone el inciso sexto del artículo 62, el inciso sexto del artículo 64 y los incisos quinto y sexto del artículo 65 del D.L. Nº 3500, a menos que hagan uso de su saldo retenido conforme lo señala el inciso tercero de este artículo y según lo establecido en el inciso sexto del artículo 65 del D.L. Nº 3500.
4. Fecha de devengamiento
La pensión de invalidez otorgada por un segundo dictamen se devengará a contar de la fecha en que éste quede ejecutoriado.
Nota de actualización: Este párrafo fue reemplazado por la Norma de Carácter General Nº 27, de fecha 7 de noviembre de 2011.
No obstante lo anterior, el afiliado podrá optar por que sus pensiones se devenguen a contar de la fecha de la suscripción del formulario Selección de Modalidad de Pensión si la opción es Retiro Programado o del mes del traspaso de la prima, si la opción es Renta Vitalicia Inmediata, Renta Temporal con Renta Vitalicia Diferida o Renta Vitalicia con Retiro Programado.
5. Selección de modalidad de pensión
Si la opción se trata de una renta vitalicia simple sin condiciones especiales de cobertura con la misma Compañía encargada de enterar el Aporte Adicional, la Administradora deberá verificar que el monto de la renta vitalicia contratada, en base al saldo obligatorio de la cuenta individual, sea igual o superior a la pensión de referencia.
Si terminada la vigencia del certificado y de todas las ofertas de renta vitalicia incluida la oferta que garantiza el seguro de invalidez y sobrevivencia, el afiliado no ha seleccionado modalidad de pensión, se entenderá que optó por la modalidad de retiro programado.
6. Pago de pensión
a) Afiliado opta por retiro programado
Si el afiliado se encontraba en régimen de pago preliminar, la Administradora deberá efectuar el primer pago de pensión definitiva en la próxima fecha de pago. En caso contrario deberá efectuar el primer pago de pensión a los 10 días hábiles de seleccionada la modalidad de pensión.
En ambos casos, se deberá pagar el monto del retiro programado informado en el correspondiente Certificado de Ofertas. Si el afiliado opta por un retiro programado con una distribución por Tipo de Fondo diferente a la vigente, la Administradora deberá considerar la selección de modalidad de pensión como una solicitud de Cambio de Fondo y pagar el monto de retiro Programado informado en el correspondiente Certificado de Ofertas para la distribución por Tipo de Fondo solicitada.
Si el afiliado desea una distribución por Tipo de Fondo diferente a las contempladas en el Certificado de Ofertas, deberá suscribir una Solicitud de Cambio de Fondo, la cual se regirá por los procedimientos normados para tal efecto y mientras esta no se materialice el monto de pensión será el correspondiente a la distribución por Tipo de Fondo vigente.
Si se trata de una invalidez total definitiva y el afiliado solicita pago de excedente de libre disposición, se deberá efectuar un recálculo de la anualidad.
b) Afiliado opta por renta vitalicia inmediata
El pago de pensión bajo la modalidad de renta vitalicia será a contar del mes del traspaso de la Prima a la Compañía de Seguros.
c) Afiliado opta por renta temporal con renta vitalicia diferida
La Administradora deberá iniciar el pago de la renta temporal a partir del mes del traspaso de la Prima a la Compañía de Seguros.
d) Afiliado opta por renta vitalicia inmediata con retiro programado
El pago de pensión bajo la modalidad de renta vitalicia será a contar del mes del traspaso de la Prima a la Compañía de Seguros. En igual oportunidad la Administradora deberá iniciar el pago del Retiro Programado.
e) Afiliado opta por una renta vitalicia inmediata con la misma Compañía de Seguros encargada del Aporte Adicional.
El pago de pensión bajo la modalidad de renta vitalicia será a contar del mes del traspaso de la Prima a la Compañía de Seguros. En este caso la prima estará constituida solo por el saldo de la Cuenta de Capitalización Individual por Cotizaciones Obligatorias.
7. Traspaso de fondos
a) Monto
Si la opción del afiliado es Renta Temporal con Renta Vitalicia Diferida o Renta Vitalicia Inmediata con Retiro Programado, la Administradora deberá traspasar los fondos de la cuenta individual suficientes para cubrir la prima única contratada.
Si la opción del afiliado es Renta Vitalicia Inmediata, la Administradora deberá traspasar el total del saldo de la cuenta individual excluyendo el saldo retenido y aquellas cotizaciones voluntarias no destinadas a pensión, si el afiliado no tiene derecho a retiro de excedente de libre disposición. Por el contrario, si el afiliado tiene derecho a excedente de libre disposición, la Administradora deberá traspasar los fondos de la cuenta individual suficientes para cubrir la prima única contratada.
b) Plazo
La Administradora deberá traspasar la prima dentro de los primeros 10 días hábiles del mes siguiente al de recepción de la correspondiente póliza.
8. Término del proceso de pensión
El término del proceso de pensión, deberá ser informado al SCOMP al día hábil subsiguiente contado desde:
a) Que se encuentre validada la selección de modalidad de pensión
b) La fecha de término del plazo para seleccionar modalidad de pensión, cuando el afiliado no concurre a suscribir el correspondiente formulario. En estos casos el afiliado queda acogido a la modalidad de Retiros Programados.
