Libro III, Título I, Letra G Otros Beneficios
Capítulo I. Excedente de libre disposición
Materias asociadas: Beneficio Previsional
1. Definición
Se define como Excedente de Libre Disposición aquel saldo que queda en la cuenta de capitalización individual del afiliado después de hacer efectiva su pensión, siempre y cuando ésta cumpla con los requisitos que se indican en el número siguiente.
2. Requisitos
Todo afiliado que cuente con a lo menos 10 años de afiliación en cualquier sistema previsional, podrá retirar parte del saldo de su cuenta de capitalización individual como Excedente de Libre Disposición si sus fondos previsionales le permiten obtener una pensión al menos igual al 70% del promedio de sus remuneraciones imponibles, y rentas declaradas y mayor o igual a 12 unidades de fomento.
Nota de actualización: Este párrafo fue modificado por la Norma de Carácter General N° 52 de fecha 13 de julio de 2011. Posteriormente, este párrafo fue modificado por la Norma de Carácter General N° 260, de fecha 19 de Marzo de 2020.
En el caso de afiliados declarados inválidos parciales con derecho al pago de pensiones conforme a un segundo dictamen, no podrán retirar excedente de libre disposición a menos que hagan uso de su saldo retenido, en cuyo caso deberán financiar una pensión por invalidez total mayor o igual al 70% de su ingreso base o una pensión de vejez, anticipada o por edad, que sumada a la pensión de invalidez parcial, sea mayor o igual al 70% de su ingreso base.
Los afiliados pensionados en alguna institución del régimen antiguo, deberán obtener una pensión tal, que sumada a la pensión del antiguo sistema sea mayor o igual al 70% del promedio actualizado de las remuneraciones imponibles y rentas declaradas en los últimos diez años anteriores al mes en que se acogió a pensión en conformidad al DL. Nº 3.500. En estos casos, no se exigirá que la pensión obtenida en este sistema supere 12 unidades de fomento.
Nota de actualización: Este párrafo fue modificado por la Norma de Carácter General N° 52 de fecha 13 de julio de 2011. Posteriormente, este párrafo fue modificado por la Norma de Carácter General N° 289, de fecha 8 de julio de 2021.
Los requisitos para retirar excedentes deberán cumplirse al momento de efectuarse el retiro. Lo señalado implica que si un afiliado se pensiona en la modalidad de Retiros Programados y cumple con los requisitos para retirar excedentes de su cuenta de capitalización individual, podrá materializar dicho retiro en forma parcial o total, en cualquier momento, siempre que continúe cumpliendo con los requisitos que señala el inciso quinto del artículo 65 del D.L. Nº 3.500. A su vez, si en virtud de un cambio de modalidad de pensión, contratara una Renta Vitalicia Inmediata o Diferida, para mantener el derecho a retirar excedentes, la pensión contratada debe cumplir con lo dispuesto en el inciso sexto del artículo 62 del mismo cuerpo legal.
3. Procedimiento para determinar el derecho a retirar excedente de libre disposición
El derecho a retirar excedente de libre disposición se determina para todos aquellos afiliados que soliciten pensión de vejez edad, vejez anticipada o sean dictaminados inválidos definitivos, como asimismo todos aquellos afiliados ya pensionados que lo soliciten suscribiendo expresamente la "Solicitud de Cálculo de Excedente de Libre Disposición" definida en el Anexo N° 1 de este Título I.
a) Procedimiento para determinar la Pensión Mínima Requerida
i. Caso General
La pensión mínima requerida, corresponderá al mayor valor entre el 70% del promedio de las remuneraciones imponibles y rentas declaradas en los 120 meses anteriores a aquel en que se acogió a pensión y 12 unidades de fomento a la fecha de cierre del Certificado de Saldo.
Nota de actualización: Este párrafo fue modificado por la Norma de Carácter General N° 52 de fecha 13 de julio de 2011. Posteriormente, este párrafo fue modificado por la Norma de Carácter General N° 289, de fecha 8 de julio de 2021.
El promedio a que se hace referencia en el párrafo anterior se calculara de acuerdo al Anexo N° 3 de este Título I.
Nota de actualización: Este párrafo fue modificado por la Norma de Carácter General Nº 27, de fecha 7 de noviembre de 2011.
Se entiende por mes que se acogió a pensión aquel en que solicitó su pensión de vejez edad o anticipada o el mes de la declaración de invalidez, primer o único dictamen. Si la solicitud de pensión de vejez edad es anterior al cumplimiento de la edad legal se entiende por mes en que se acoge a pensión aquel en que el afiliado cumple dicha edad.
Si se tratare de un afiliado que recibió pensiones transitorias de invalidez pero que posteriormente fue rechazada su invalidez, las pensiones transitorias de invalidez se considerarán como remuneraciones para efectos del promedio de rentas.
ii. Afiliados con pensión en el antiguo sistema previsional
Para el afiliado que reciba pago de pensión en el antiguo sistema previsional la pensión mínima requerida, corresponderá a la diferencia entre la pensión que está percibiendo por el antiguo sistema y el 70% del promedio de las remuneraciones imponibles y rentas declaradas en los 120 meses anteriores a aquel en que se acogió a pensión. Si dicha diferencia fuera negativa deberá informarse "cero''.
Las Administradoras y el IPS establecerán un sistema de comunicación electrónica para la transferencia de información que permita calcular la pensión mínima requerida. El formato y el medio de envío de la información requerida serán acordados entre las partes, de forma tal que se garantice que la información sea correcta, íntegra y oportuna. Igual información deberá ser requerida por la Administradora a Capredena y Dipreca. Para efectos de convertir el monto de la pensión del antiguo sistema a UF, se deberá utilizar el valor de la UF del día de pago de la respectiva pensión. No deberán considerarse para estos efectos las pensiones que los afiliados estuvieran percibiendo por concepto de una invalidez de origen profesional, las cuales dejarán de percibirse al cumplimiento de la edad legal para pensionarse por vejez, las pensiones no contributivas por gracia y las pensiones percibidas por el afiliado, no causadas por él.
Nota de actualización: Este párrafo fue reemplazado por la Norma de Carácter General Nº 27, de fecha 7 de noviembre de 2011. Posteriormente, este párrafo fue modificado por la Norma de Carácter General N° 260, de fecha 19 de Marzo de 2020.
b) Cálculo del capital necesario para financiar la pensión mínima requerida
i. Caso General
Para determinar el capital necesario (Keld) para financiar la pensión requerida (peld) para poder efectuar un retiro de excedente de libre disposición, se deberá utilizar la fórmula siguiente aplicando los parámetros vigentes al momento del cálculo.
Keld = peld* 12*cnu
Donde:
- Keld: corresponde al capital necesario para financiar la pensión requerida. Para efectos de conformar el Keld se deberá considerar el siguiente orden de prelación: Cotizaciones Obligatorias, Cotizaciones de Afiliado Voluntario, Depósitos Convenidos, Cotizaciones Voluntarias y Aportes de Ahorro Previsional Voluntario Colectivo. En el caso de las cotizaciones voluntarias y aportes de ahorro previsional voluntario colectivo, se deberán considerar en primer lugar los últimos que ingresaron a la cuenta individual y así sucesivamente, hasta los más antiguos. Por su parte, en el caso de los depósitos convenidos se deberán considerar en primer lugar los más antiguos y así sucesivamente, hasta los últimos depósitos enterados, priorizando la parte igual o inferior a 900 U.F. anuales.
- peld: corresponde a la mayor pensión entre el 70% del promedio de las remuneraciones imponibles y rentas declaradas de los últimos 120 meses anteriores a la solicitud de pensión y 12 unidades de fomento.
Nota de actualización: Esta definición fue modificada por la Norma de Carácter General N° 52 de fecha 13 de julio de 2011. Posteriormente, este párrafo fue modificado por la Norma de Carácter General N° 289, de fecha 8 de julio de 2021.
- cnu: corresponde al capital necesario unitario del afiliado y sus beneficiarios.
En este caso el monto potencial de retiro de excedente de libre disposición será la diferencia entre la suma de todos los recursos del afiliado destinados a pensión y el capital necesario para financiar la pensión requerida Keld. Si esta diferencia es negativa el monto potencial de excedente de libre disposición es cero.
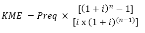
ii. Vejez anticipada en retiro programado sin endosar el Bono de Reconocimiento
- En este caso después de calcular el capital necesario para financiar la pensión mínima requerida de acuerdo al numeral i anterior se deberá calcular el capital mínimo efectivo de acuerdo a la fórmula siguiente:
Donde:
KME: corresponde al capital mínimo efectivo necesario para financiar la pensión requerida hasta la fecha en que el Bono sea liquidable.
Preq: pensión mínima requerida, corresponde a la pensión requerida para tener derecho a retirar excedente de libre disposición.
n: corresponde al número de meses enteros y fracción de mes que faltan para que el Bono sea liquidable más dos meses.
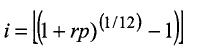
i: corresponde a la tasa de interés mensual, calculada de acuerdo a lo siguiente:
rp: corresponde a la tasa de interés anual para el cálculo de los retiros programados y rentas temporales.
Luego se deberá determinar el excedente máximo y el excedente efectivo de acuerdo a lo siguiente:
-E1 (excedente máximo) = Saldo Total de la cuenta incluido el Bono actualizado menos el Saldo Mínimo.
-E2 (excedente mínimo) = Saldo Efectivo menos Saldo Mínimo Efectivo.
El monto potencial de excedente que el afiliado puede retirar corresponderá al menor valor entre E1 y E2.
Nota de actualización: Este literal fue modificado por la Norma de Carácter General N° 260, de fecha 19 de Marzo de 2020.
c) Monto máximo objeto de retiro de excedente de libre disposición.
i. Afiliado que solicita pensión
El monto máximo de excedente de libre disposición bajo la modalidad de Retiro Programado corresponderá al menor valor entre el monto potencial de retiro de excedente calculado de acuerdo a la letra b) anterior y el promedio de los excedentes de libre disposición indicados por las Compañías para una Renta Vitalicia Simple igual a la pensión mínima requerida para acceder al retiro de excedente. El promedio antes indicado corresponderá al promedio ofertado para el afiliado a través del SCOMP, considerando el total de consultas solicitadas para el correspondiente certificado de saldo. Las cotizaciones a considerar deben corresponder a una Renta Vitalicia Inmediata Simple sin condiciones especiales de cobertura.
Para aquellos afiliados que teniendo saldo para retirar excedentes sólo tuvieron ofertas de Rentas Vitalicias Inmediatas Simples de parte de las Compañías de Seguros, considerando como prima el saldo total de la cuenta, el monto máximo susceptible de retiro de excedente, se calculará como el menor valor entre i) y ii) de acuerdo a lo siguiente:
ii. Afiliado pensionado
Si se tratara de un afiliado ya pensionado el monto máximo de excedente de libre disposición bajo la modalidad de Retiro Programado corresponderá al menor valor entre el monto potencial de retiro de excedente calculado de acuerdo a la letra b) anterior y el capital necesario para financiar la pensión mínima requerida utilizando la tasa implícita promedio de las rentas vitalicias inmediatas simples para igual tipo de pensión, del mes ante precedente.
Este procedimiento también se aplicará para aquellos afiliados que, teniendo saldo para retirar excedentes, no tuvieron ofertas de Rentas Vitalicias de parte de las Compañías de Seguros.
d) Orden de prelación para conformar el excedente de libre disposición
Se deberá considerar el siguiente orden de prelación:
i. Ahorro Previsional Voluntario Colectivo considerando en primer lugar, los primeros aportes que ingresaron a la cuenta individual, y así sucesivamente, hasta los más nuevos.
ii. Cotizaciones Voluntarias considerando en primer lugar, las primeras que ingresaron a la cuenta de capitalización individual, y así sucesivamente, hasta las más nuevas.
iii. Depósitos Convenidos
Nota de actualización: Este literal fue modificado por la Norma de Carácter General Nº 48, de fecha 29 de mayo de 2012.
iv. Cotizaciones de afiliado voluntarios.
v. Cotizaciones Obligatorias.
4. Emisión de certificado de saldo
Si se trata de un afiliado ya pensionado la Administradora deberá emitir el certificado de saldo de acuerdo a lo dispuesto en el Anexo N° 4 de este Título I.
Nota de actualización: Este número fue modificado por la Norma de Carácter General Nº 27, de fecha 7 de noviembre de 2011.
5. Solicitud de pago de excedente
Solicitado por el afiliado el monto a retirar como excedente, la Administradora deberá conformar dicho monto considerando el orden de prelación señalado en la letra d) del número 3 anterior.
Nota de actualización: Este párrafo fue modificado por la Norma de Carácter General Nº 48, de fecha 29 de mayo de 2012.
La parte del excedente que cumpla con la característica de ser retirada libre de impuesto (rentas exentas), podrá retirarse en parcialidades de hasta 200 unidades tributarias mensuales por año hasta completar un total de 1.200 unidades tributarias mensuales. Alternativamente, el afiliado podrá optar por acoger sus retiros a una exención máxima de 800 unidades tributarias mensuales durante un año, contado éste desde el día del mes en que el afiliado efectúe el primer retiro libre de impuesto (rentas exentas) y en la forma dispuesta en el artículo 48 del Código Civil. Cualquiera sea la opción seleccionada, el plazo que dispone el afiliado para efectuar el retiro exento de impuesto se comenzará a contar desde la fecha del primer retiro. Sin perjuicio de lo anterior, si opta por el régimen que permite una exención máxima anual equivalente a 200 unidades tributarias mensuales, cada año debe computarse considerando aquel período de doce meses que termina el 31 de diciembre. Para estos efectos y conforme a las instrucciones impartidas por el Servicio de Impuestos Internos, deberá considerarse como fecha del referido retiro, la fecha en que la AFP pone a disposición del afiliado los respectivos recursos por el retiro de excedente de libre disposición, siendo la AFP responsable de actualizar esta definición ante los eventuales cambios de criterio que dicho Servicio haga sobre esta materia. Estos recursos no podrán ser considerados para el cálculo de la pensión o como parte de la prima, por conformar un monto de excedente solicitado cuyo pago se encuentra diferido.
Nota de actualización: Este párrafo fue reemplazado por la Norma de Carácter General Nº 27, de fecha 7 de noviembre de 2011. Posteriormente, este párrafo fue nuevamente reemplazado por la Norma de Carácter General N° 326, de fecha 17 de julio de 2024.
Cuando el afiliado con derecho a opción solicite por primera vez un pago de excedente de libre disposición, conjuntamente con la solicitud de pago debe indicar el régimen de tributación al que se va a acoger. Así, la Administradora llevará un registro de ellos, lo que le permitirá proporcionar la información al Servicio de Impuestos Internos cuando corresponda y al afiliado cuando la solicite.
Cada vez que el afiliado pensionado requiera un pago de excedente, la Administradora debe asegurarse que mantenga el cumplimiento de los requisitos que establece la Ley.
6. Tratamiento tributario del Excedente de Libre Disposición
Los retiros de excedentes de libre disposición están afectos al régimen tributario establecido en los artículos 42 ter y 42 quáter de la Ley de la Renta y/o la opción que establece el artículo 6° transitorio de la Ley N° 19.768, cuando corresponda, conforme a las instrucciones impartidas por el Servicio de Impuestos Internos.
Será obligación de la Administradora informar adecuadamente a los afiliados que soliciten cálculo de excedente de libre disposición de las particularidades de estos regímenes, en especial lo referente a la tributación, considerando a lo menos, los siguientes aspectos:
i. Que los retiros de excedentes de libre disposición que no excedan los referidos límites máximos, en su calidad de rentas exentas, formarán parte de la renta bruta global para los efectos de la progresión del Impuesto Global Complementario, ordenada en el N° 3 del artículo 54 de la Ley sobre Impuesto a la Renta, sin perjuicio del derecho al crédito que establece la misma disposición legal.
ii. Que los excesos de retiros de excedentes de libre disposición que resulten por sobre el límite máximo que permite que tales retiros queden libres de impuesto (rentas exentas) en los respectivos regímenes tributarios, se gravarán con el Impuesto Global Complementario.
iii. Que la fecha de un retiro de excedente de libre disposición conforme a las instrucciones impartidas por el Servicio de Impuestos Internos corresponderá a la fecha en que la AFP pone a disposición los recursos al afiliado, siendo aquella responsable de mantener actualizada esta definición ante eventuales cambios de criterio que efectúe dicho Servicio.
iv. Que, una vez materializado el primer retiro de excedentes de libre disposición acogido a un determinado régimen tributario, los siguientes retiros que efectúe quedarán sujetos al mismo régimen tributario hasta haber agotado el límite máximo del beneficio.
v. Que los pensionados calificados como enfermos terminales gozan de manera independiente de la posibilidad de efectuar nuevos retiros de excedente de libre disposición conforme a dispuesto en el artículo 70 bis del D.L. N° 3.500, de 1980.
Adicionalmente, la Administradora deberá incluir en el formulario "Solicitud de Cálculo de Excedente de Libre Disposición", a continuación de las firmas, una leyenda o nota explicativa, redactada en un lenguaje claro y comprensible para el afiliado, que considere todos los aspectos referentes a la tributación de los retiros de excedentes de libre disposición detallados en el párrafo anterior. Lo anterior, no reemplaza la obligación de las AFP a que se refiere el literal x. de la letra e), del número 4, del Capítulo II, de la Letra A, del presente Título I.
Respecto de aquellos afiliados que ejerzan la opción del artículo 6° transitorio de la Ley N° 19.768, las Administradoras deberán calcular, retener y enterar en la Tesorería General de la República el impuesto único que grava dichos retiros, determinado de acuerdo a las instrucciones impartidas por el Servicio de Impuestos Internos.
Nota de actualización: Este número fue reemplazado por la Norma de Carácter General N° 326, de fecha 17 de julio de 2024.
7. Fecha de pago de excedente de libre disposición
La Administradora deberá pagar este beneficio, a más tardar, dentro de los 10 días hábiles siguientes de suscrito el formulario "Solicitud de Pago Excedente de Libre Disposición".
Si hubiere un traspaso de fondos pendiente, ya sea por pago de prima de renta vitalicia inmediata o diferida, este plazo se extenderá hasta el décimo día hábil siguiente al de efectuada dicha transferencia.


