Libro III, Título I, Anexos
Anexo N° 7 Capitales necesarios
Materias asociadas: Beneficio Previsional
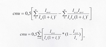
Los capitales necesarios unitarios deben calcularse con seis decimales y de acuerdo a las fórmulas que a continuación se indican para cada caso, utilizando la siguiente nomenclatura:
cnu = capital necesario unitario.
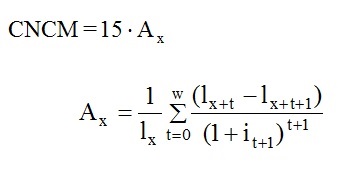
CNCM = valor actual esperado de la cuota mortuoria.
x = edad del pensionado.
y = edad de la o el cónyuge.
a = edad de la o el conviviente civil.
Nota de actualización: Esta variable "a" fue incorporada por la Norma de Carácter General N° 153, de fecha 11 de septiembre de 2015.
u = edad de la madre o padre de hijos de filiación no matrimonial.
h = edad hijo no inválido.
hi = edad hijo inválido.
hm = edad del hijo menor de filiación matrimonial, no inválido.
hc = edad del hijo menor, no inválido.
Nota de actualización: Esta variable "hc" fue incorporada por la Norma de Carácter General N° 158, de fecha 19 de octubre de 2015.
hum = edad del hijo menor de filiación no matrimonial, no inválido.
m = edad de la madre o del padre.
z = 24 años.
x'= x + z - hm.
y'= y + z - hm.
a'= a + z - hc.
Nota de actualización: Esta ecuación fue incorporada por la Norma de Carácter General N° 158, de fecha 19 de octubre de 2015.
u'= u + z -hum.
x"= x + z - hum.
w = representa el fin de la tabla de mortalidad.
n = Número de hijos de filiación matrimonial y no matrimonial, inválidos y no inválidos con derecho al incremento a que se refiere el artículo 58, del D.L. Nº 3.500.
it = tasa de interés para un periodo de t años.
lx = número de personas vivas a la edad x de acuerdo a la tabla de mortalidad que corresponda.
1. Pensiones de sobrevivencia
El capital necesario unitario del grupo familiar en el caso de fallecimiento de un afiliado se determina sumando, los términos que se indican a continuación por cada beneficiario con derecho a pensión, según corresponda.
En caso de existir dos o más cónyuges, el porcentaje que le hubiere correspondido al beneficiario cónyuge se dividirá por el número de cónyuges que existan. Al dejar de existir uno de los cónyuges, los restantes tendrán derecho a percibir el porcentaje de pensión que le correspondía al cónyuge faltante dividido por el número de cónyuges sobrevivientes. Asimismo, cada cónyuge tendrá derecho a acrecer a un sesenta por ciento (60%), dividido por el número de cónyuges que existan en ese momento, cuando los hijos dejen de tener derecho a pensión. A modo de ejemplo, en el caso de existir dos cónyuges, uno sin hijos con derecho a pensión y el otro con hijos con derecho a pensión, al primero le corresponderá un treinta por ciento (30%) de la pensión de referencia del causante, y un veinticinco por ciento (25%) al segundo. Cuando los porcentajes resulten fraccionados, se deberá trabajar con dos decimales, como sería el caso de tres cónyuges con hijos con derecho a pensión, en que el porcentaje para cada cónyuge sería 16,67%.
Nota de actualización: Este párrafo fue modificado, por la Norma de Carácter General N° 260, de fecha 19 de Marzo de 2020.
Lo anterior, también será aplicable para el caso de los o las convivientes civiles y de las madres o padres de hijos de filiación no matrimonial.
Nota de actualización: Este párrafo fue modificado por la Norma de Carácter General N° 153, de fecha 11 de septiembre de 2015.
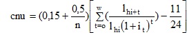
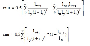
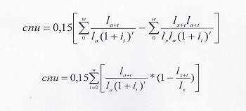
a) Cónyuge, sin hijos con derecho a pensión
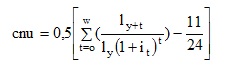
b) Cónyuge, con hijos no inválidos con derecho a pensión
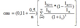
c) Cónyuge con algún hijo inválido con derecho a pensión
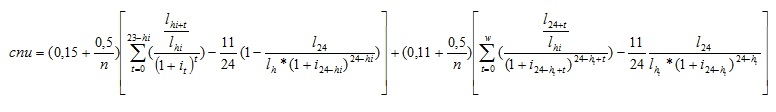
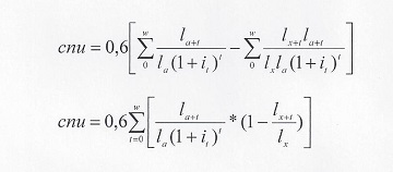
d) Hijos no inválidos y causante con cónyuge o hijos no inválidos con madre o padre con derecho a pensión.
Nota de actualización: El título de esta letra fue modificado por la Norma de Carácter General N° 153, de fecha 11 de septiembre de 2015. Posteriormente, fue reemplazado por la Norma de Carácter General N° 173, de fecha 21 de abril de 2016.
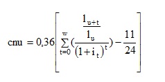
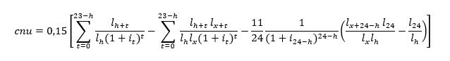
En el caso de un grupo familiar compuesto por un sólo hijo, cuya edad actuarial sea mayor o igual a 23 años, el capital necesario unitario total será igual al producto de la pensión por el número de meses que le restan al hijo para cumplir 24 años de edad.
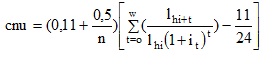
e) Hijos inválidos y causante con cónyuge o hijos inválidos con madre o padre con derecho a pensión.
Nota de actualización: El título de esta letra fue modificado por la Norma de Carácter General N° 153, de fecha 11 de septiembre de 2015. Posteriormente, fue reemplazado por la Norma de Carácter General N° 173, de fecha 21 de abril de 2016.
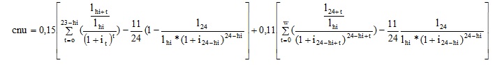
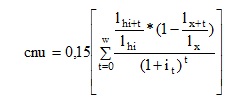
Para hijo inválido total
Para hijo inválido parcial
Si hi es menor a 24
Si hi es mayor o igual a 24
f) Hijos no inválidos sin madre o padre con derecho a pensión, y causante sin cónyuge con derecho a pensión
Nota de actualización: El título de esta letra fue modificado por la Norma de Carácter General N° 153, de fecha 11 de septiembre de 2015. Posteriormente fue modificado por la Norma de Carácter General N° 173, de fecha 21 de abril de 2016.
En el caso de un grupo familiar compuesto por un sólo hijo, cuya edad actuarial sea mayor o igual a 23 años, el capital necesario unitario total será igual al producto de la pensión por el número de meses que le restan al hijo para cumplir 24 años de edad.
g) Hijos inválidos sin madre o padre con derecho a pensión, y causante sin cónyuge con derecho a pensión
Nota de actualización: El título de esta letra fue modificado por la Norma de Carácter General N° 153, de fecha 11 de septiembre de 2015. Posteriormente fue modificado por la Norma de Carácter General N° 173, de fecha 21 de abril de 2016.
Para hijo inválido total
Para hijo inválido parcial
Si hi menor a 24
Si hi es mayor o igual a 24
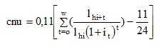
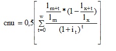
h) Madre o Padre de hijos de filiación no matrimonial, sin hijos con derecho a pensión
i) Madre o Padre de hijos de filiación no matrimonial con hijos no inválidos con derecho a pensión
j) Madre o Padre de hijos de filiación no matrimonial con algún hijo inválidos con derecho a pensión
k) Madre o padre del causante
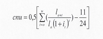
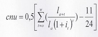
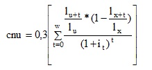
l) Conviviente civil, sin hijos comunes con el causante, siempre que no concurran hijos del causante con derecho a pensión
Nota de actualización: Esta letra fue incorporada por la Norma de Carácter General N° 153, de fecha 11 de septiembre de 2015.
m) Conviviente civil, sin hijos comunes con el causante, siempre que concurran hijos del causante con derecho a pensión
Nota de actualización: Esta letra fue incorporada por la Norma de Carácter General N° 153, de fecha 11 de septiembre de 2015.
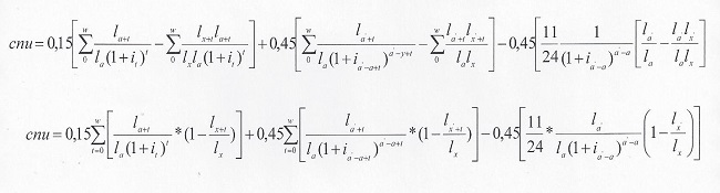
n) Conviviente civil, con hijos no inválidos comunes con el causante, concurran o no hijos del causante no inválidos con derecho a pensión
Nota de actualización: Esta letra fue incorporada por la Norma de Carácter General N° 153, de fecha 11 de septiembre de 2015.
o) Conviviente civil sin hijos comunes con el causante, siempre que concurra algún hijo del causante que sea inválido con derecho a pensión
Nota de actualización: Esta letra fue incorporada por la Norma de Carácter General N° 153, de fecha 11 de septiembre de 2015.
p) Conviviente civil con algún hijo común con el causante, que sea inválido con derecho a pensión
Nota de actualización: Esta letra fue incorporada por la Norma de Carácter General N° 153, de fecha 11 de septiembre de 2015.
q) Conviviente civil con hijos no inválidos comunes con el causante, siempre que concurra algún hijo del causante que sea inválido con derecho a pensión
Nota de actualización: Esta letra fue incorporada por la Norma de Carácter General N° 153, de fecha 11 de septiembre de 2015.
2. PENSIONES DE VEJEZ E INVALIDEZ
El capital necesario unitario en el caso de un pensionado por vejez o invalidez se determina sumando, los términos que se indican a continuación para el afiliado y para cada uno de los beneficiarios con derecho a pensión, según corresponda.
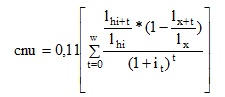
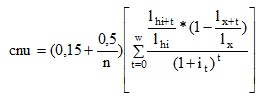
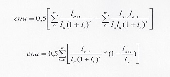
a) Afiliado pensionado
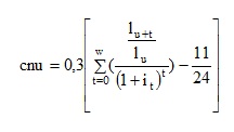
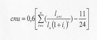
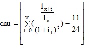
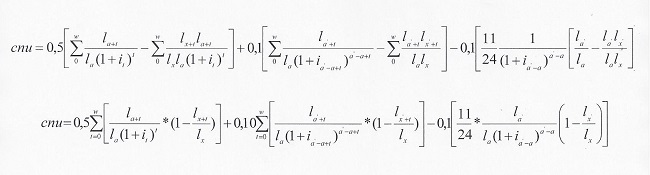
b) Cónyuge sin hijos con derecho a pensión
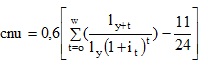
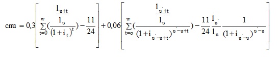
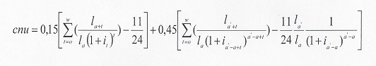
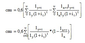
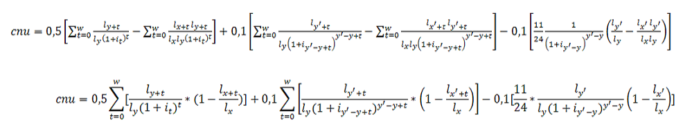
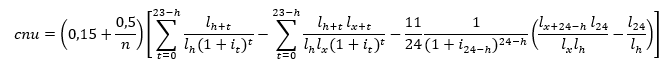
c) Cónyuge con hijos no inválidos con derecho a pensión
Nota de actualización: Esta fórmula fue modificada por la Norma de Carácter General N° 260, de fecha 19 de marzo de 2020.
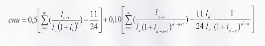
d) Cónyuge con algún hijo inválido con derecho a pensión
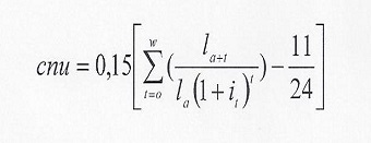
e) Hijos no inválidos y causante con cónyuge o hijos no inválidos con madre o padre con derecho a pensión.
Nota de actualización: El título de esta letra fue modificado por la Norma de Carácter General N° 153, de fecha 11 de septiembre de 2015. Posteriormente fue reemplazado por la Norma de Carácter General N° 173, de fecha 21 de abril de 2016.
Nota de actualización: Esta fórmula fue modificada por la Norma de Carácter General N° 260, de fecha 19 de marzo de 2020.
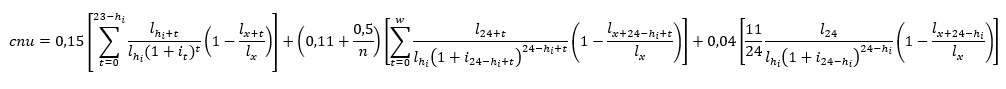
f) Hijos inválidos y causante con cónyuge o hijos inválidos con madre o padre con derecho a pensión.
Nota de actualización: El título de esta letra fue modificado por la Norma de Carácter General N° 153, de fecha 11 de septiembre de 2015. Posteriormente fue reemplazado por la Norma de Carácter General N° 173, de fecha 21 de abril de 2016.
Para hijo inválido total
Para hijo inválido parcial
Si hi menor 24
Nota de actualización: Esta fórmula fue modificada por la Norma de Carácter General N° 260, de fecha 19 de marzo de 2020.
Si hi es mayor o igual a 24
g) Hijos no inválidos, sin madre o padre con derecho a pensión y causante sin cónyuge con derecho a pensión
Nota de actualización: El título de esta letra fue modificado por la Norma de Carácter General N° 153, de fecha 11 de septiembre de 2015.Posteriormente, fue modificado por la Norma de Carácter General N° 173, de fecha 21 de abril de 2016.
Nota de actualización: Esta fórmula fue modificada por la Norma de Carácter General N° 260, de fecha 19 de marzo de 2020.
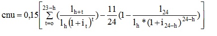
h) Hijos inválidos sin madre o padre con derecho a pensión y causante sin cónyuge con derecho a pensión
Nota de actualización: El título de esta letra fue modificado por la Norma de Carácter General N° 153, de fecha 11 de septiembre de 2015. Posteriormente, fue modificado por la Norma de Carácter General N° 173, de fecha 21 de abril de 2016.
Para hijo inválido total
Para hijo inválido parcial
Si hi menor a 24
Nota de actualización: Esta fórmula fue modificada por la Norma de Carácter General N° 260, de fecha 19 de marzo de 2020.
Si hi es mayor o igual a 24
i) Madre o Padre de hijos de filiación no matrimonial sin hijos con derecho a pensión
j) Madre o Padre de hijos de filiación no matrimonial con hijos no inválidos con derecho a pensión
k) Madre o Padre de hijos de filiación no matrimonial con algún hijo inválido con derecho a pensión
l) Madre o padre del causante.
m) Conviviente civil, sin hijos comunes con el causante, siempre que no concurran hijos del causante con derecho a pensión
Nota de actualización: Esta letra fue incorporada por la Norma de Carácter General N° 153, de fecha 11 de septiembre de 2015.
n) Conviviente civil, sin hijos comunes con el causante, siempre que concurran hijos del causante con derecho a pensión
Nota de actualización: Esta letra fue incorporada por la Norma de Carácter General N° 153, de fecha 11 de septiembre de 2015.
o) Conviviente civil, con hijos no inválidos comunes con el causante, concurran o no hijos del causante no inválidos con derecho a pensión
Nota de actualización: Esta letra fue incorporada por la Norma de Carácter General N° 153, de fecha 11 de septiembre de 2015.
p) Conviviente civil sin hijos comunes con el causante, siempre que concurra algún hijo del causante que sea inválido con derecho a pensión
Nota de actualización: Esta letra fue incorporada por la Norma de Carácter General N° 153, de fecha 11 de septiembre de 2015.
q) Conviviente civil con algún hijo común con el causante, que sea inválido con derecho a pensión
Nota de actualización: Esta letra fue incorporada por la Norma de Carácter General N° 153, de fecha 11 de septiembre de 2015.
r) Conviviente civil con hijos no inválidos comunes con el causante, siempre que concurra algún hijo del causante que sea inválido con derecho a pensión
Nota de actualización: Esta letra fue incorporada por la Norma de Carácter General N° 153, de fecha 11 de septiembre de 2015.
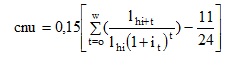
3. CUOTA MORTUORIA
El valor actual esperado de la cuota mortuoria equivalente a 15 U.F., a que se refiere el D.L. 3.500, se determina de acuerdo a lo siguiente:











































