Libro III, Título VII Bonificación por Hijo Nacido Vivo para las mujeres
Capítulo III. Requisitos y beneficios
Materias asociadas: Bonificación Hijo
Requisitos
1. Serán beneficiarias de la Bonificación por cada hijo nacido vivo las mujeres chilenas y extranjeras que sean madres biológicas o madres adoptivas; personas chilenas y extranjeras que sean madres biológicas o adoptivas, que antes de los 65 años rectifiquen su sexo a masculino; los hombres chilenos y extranjeros que luego de rectificar su sexo a
femenino y antes de los 65 años de edad, se conviertan en madres adoptivas, y que:
a) Cumplan con el requisito de tener residencia continua o discontinua en Chile no inferior a veinte años, contados desde que la beneficiaria haya cumplido 20 años de edad; y de cuatro años de residencia en los últimos cinco años inmediatamente anteriores a la fecha de presentación de la solicitud.
Se considerará como residencia en el país, el tiempo que las personas hubieran permanecido en el extranjero por motivo del cumplimiento de misiones diplomáticas, representaciones consulares y demás funciones oficiales concernientes al Estado de Chile. Lo mismo se aplicará respecto de aquellos períodos de residencia en el extranjero en calidad de exiliadas que hubiesen sido registrados como tales por la Oficina Nacional de Retorno, de acuerdo a la letra a) del artículo 2° de la Ley N° 18.994.
b) Se encuentren en alguna de las siguientes situaciones:
i. Sólo afiliada al sistema de pensiones del D.L. N° 3.500, de 1980.
ii. Sin ser afiliada al sistema de pensiones del D.L. N°3.500, de 1980, sea beneficiaria de una pensión garantizada universal; o siendo afiliada al citado sistema, con saldo cero en su cuenta de capitalización individual por concepto de cotizaciones obligatorias y sin derecho a pensión, sea beneficiaria de PGU.
iii. Sin ser afiliada a un régimen previsional, perciba una pensión de sobrevivencia que se origine del sistema del D.L. N° 3.500, de 1980 u otorgada por el Instituto de Previsión Social. En ambos casos deben ser además beneficiarias de PGU.
c) Que, en cualquiera de las calidades señaladas en la letra b) anterior, se adquiera el derecho a pensión a contar del 1 de julio de 2009.
d) Tenga a lo menos 65 años de edad.
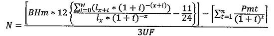
2. Las beneficiarias citadas en los literales ii y iii de la letra b) anterior, continuarán percibiendo la bonificación por hijo, aún cuando pierdan la PGU o la pensión de sobrevivencia. Por lo tanto, el IPS y las Administradoras de Fondos de Pensiones deberán comunicar a las personas que se encuentren en alguna de las situaciones antes descritas, que no perderán el derecho a la citada bonificación, respecto de la cual pueden solicitar sea ajustada a un monto de 3 UF, para lo cual el IPS determinará el número de pagos ajustados a 3 UF a que tiene derecho, de acuerdo a lo siguiente:
Donde:
N : Número de pagos ajustados a 3 UF a que tiene derecho.
BHm : Bonificación Total por hijo nacido vivo, mensualizada, expresada en pesos.
lx : Número de personas vivas a la edad x, obtenida de la tabla de mortalidad para beneficiarias, B-M-2006 o la que la reemplace.
i : Tasa de interés promedio implícita en las rentas vitalicias de vejez contratadas en los seis meses anteriores a la fecha en que la beneficiaria pierde su derecho a la PGU o a pensión de sobrevivencia, según sea el caso.
x : Edad actuarial a la fecha en que la beneficiaria pierda su derecho a PGU o a pensión de sobrevivencia, según sea el caso.
w : Fin de la tabla de mortalidad.
3UF: Para determinar el monto a que ascienden las 3 UF, se debe considerar el valor de la UF vigente a la fecha en que la beneficiaria pierda su derecho a la PGU o a la pensión de sobrevivencia, según sea el caso.
Pmt : Monto mensual pagado por concepto de bonificación por hijo nacido vivo en el mes t, entre la fecha de término de la PGU o la pensión de sobrevivencia y la fecha de cálculo.
n : Número de meses transcurridos entre la fecha de término de la PGU o la pensión de sobrevivencia y la fecha de cálculo.
Nota de actualización: Este número fue modificado por la Norma de Carácter General N° 144, de fecha 10 de junio de 2015. Posteriormente fue modificado por la Norma de Carácter General N° 304, de fecha 29 de diciembre de 2022.
3. La condición de afiliada al D.L. N° 3.500 prima sobre cualquier otra calidad y en consecuencia si cumple los requisitos para tener derecho a la bonificación ésta siempre la recibirá en su calidad de afiliada independientemente que perciba o no pensiones de sobrevivencia sean éstas del D.L. N° 3.500, de las ex-Cajas de Previsión administradas por el IPS, de Capredena, de Dipreca, conforme a la Ley N° 16.744, u otras; en este caso la bonificación por hijo la recibirán en su calidad de afilada al D.L. N° 3.500, según se establece en el número 1 del Capítulo VII del presente Título. Se exceptúan de lo anterior, quienes perciban PGU y sean afiliadas al D.L. N° 3.500 sin derecho a pensión, con saldo cero en su cuenta de capitalización individual por concepto de cotizaciones obligatorias. En este caso, la bonificación por hijo la recibirán en su calidad de beneficiarias de PGU, como un flujo mensual según se establece en el número 2 del citado Capítulo VII.
Nota de actualización: Este número fue modificado por la Norma de Carácter General N° 109, de fecha 20 de febrero de 2014. Posteriormente fue modificado por la Norma de Carácter General N° 304, de fecha 29 de diciembre de 2022.
En el caso de mujeres que han percibido la bonificación en su calidad de afiliadas al D.L. N° 3.500, de 1980, el hecho que con posterioridad a ello accedan a una pensión de sobrevivencia, no constituye a su respecto una causal de pérdida del beneficio. Asimismo, en el caso de beneficiarias de pensión de sobrevivencia que en tal calidad hayan percibido la bonificación, el hecho que con posterioridad se afilien al citado D.L. o reciban otro tipo de pensión, no conlleva la extinción de la bonificación.
4. Si la mujer fallece antes de presentar la solicitud, no se genera derecho al pago del beneficio.
En el caso de las afiliadas al D.L. N° 3.500, si la beneficiaria fallece con posterioridad a la presentación de la solicitud, procederá el pago de la bonificación habiéndose acreditado el cumplimiento de los requisitos exigidos al efecto.
En el caso de beneficiarias de PGU del literal ii, letra b), del número 1 anterior y de las beneficiarias de pensión de sobrevivencia con PGU del literal iii, de la citada letra b), si el fallecimiento se produce una vez presentada la solicitud dará origen al pago de la Bonificación devengada hasta la fecha del fallecimiento.
Nota de actualización: Este número fue modificado por la Norma de Carácter General N° 304, de fecha 29 de diciembre de 2022.
Beneficios
5. El artículo 75 de la Ley N° 20.255 establece que la bonificación por hijo, consiste en un aporte estatal equivalente al 10% de dieciocho ingresos mínimos, correspondientes a aquel fijado para los trabajadores mayores de 18 años de edad y hasta los 65 años, vigentes en el mes de nacimiento del hijo, más una tasa de rentabilidad por cada mes completo, contado desde el mes del nacimiento del respectivo hijo y hasta el mes en que la mujer cumpla los 65 años de edad.
6. La tasa de rentabilidad a que se refiere el número anterior, es equivalente a la rentabilidad nominal anual promedio de todos los Fondos Tipo C, descontado el porcentaje que representa sobre los Fondos de Pensiones el total de ingresos de las Administradoras de Fondos de Pensiones por concepto de las comisiones a que se refiere el inciso segundo del artículo 28 del D.L. N° 3.500, de 1980, con exclusión de la parte destinada al pago de la prima del contrato de seguro a que se refiere el artículo 59 del mismo cuerpo legal.
7. Asimismo, el artículo vigésimo cuarto del párrafo tercero, de las disposiciones transitorias contenidas en el título VIII de la Ley N° 20.255, establece que la bonificación por hijo para las madres, beneficiará a las mujeres que se pensionen a contar del 1 de julio de 2009, de acuerdo a las normas permanentes del párrafo primero del título III de la misma ley; agregando además que, toda mujer que, cumpliendo los requisitos que se establecen en el artículo 74, obtenga su pensión con posterioridad al 1 de julio de 2009, tendrá derecho a la bonificación respecto de los hijos nacidos vivos o adoptados con anterioridad a esa fecha, la que se calculará aplicando el 10% sobre el ingreso mínimo vigente a la referida data, es decir, el 1 de julio de 2009. A contar de esa misma fecha, se comenzará a calcular la rentabilidad nominal establecida en el inciso segundo del artículo 75, procediendo en lo demás de acuerdo con los artículos permanentes del párrafo primero del título III.
8. La Superintendencia de Pensiones informará al Instituto de Previsión Social la tasa de rentabilidad a que alude el artículo 75 de la Ley N° 20.255 y aquella que sea necesaria para efectuar los cálculos establecidos en los incisos segundo y tercero del artículo 76 de la misma ley. Dicha información será incorporada al Sistema de Información de Datos Previsionales. También la informará a las Administradoras para que recalculen la PAFE de acuerdo a lo dispuesto en la letra L del Título V del presente Libro.
