Libro III, Título VII Bonificación por Hijo Nacido Vivo para las mujeres
Capítulo VI. Cálculo y concesión de la bonificación
Materias asociadas: Bonificación Hijo
1. Una vez realizada la verificación del cumplimiento de los requisitos establecidos en la Ley y el Reglamento, necesarios para el otorgamiento de la bonificación, el IPS deberá proceder a calcular el valor a que tiene derecho la beneficiaria y a emitir una resolución por las solicitudes aceptadas. En caso de no cumplir con los requisitos emitirá una resolución rechazando la solicitud.
Monto bonificación por cada hijo
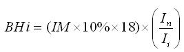
2. El valor de la bonificación por cada hijo nacido vivo será:
a) Hijos nacidos a partir del 1 de julio de 2009:
Donde
BHi = Valor de la bonificación por hijo.
IM = Valor del ingreso mínimo correspondiente al mes de nacimiento del hijo.
In = Valor del Índice calculado por la Superintendencia de Pensiones correspondiente al mes anterior a aquél en que la beneficiaria cumple 65 años de edad.
Ii = Valor del Índice calculado por la Superintendencia de Pensiones correspondiente al mes de nacimiento del hijo.
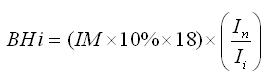
b) Hijos nacidos con anterioridad al 1 de julio de 2009:
Donde
BHi = Valor de la bonihcación por hijo.
IM = Valor del ingreso mínimo correspondiente a julio de 2009.
In = Valor del Índice calculado por la Superintendencia de Pensiones correspondiente al mes anterior a aquél en que la beneficiaria cumple 65 años de edad. Si la beneficiaria cumplió 65 años de edad antes del 1º de julio de 2009, este valor corresponderá al Índice calculado por la Superintendencia de Pensiones correspondiente al mes de junio de 2009.
Ii = Valor del Índice calculado por la Superintendencia de Pensiones correspondiente al mes de junio de 2009.
Monto bonificación total
3. El valor total de la bonificación que le corresponde recibir a la beneficiaria será la suma del valor de las bonificaciones calculada por cada hijo.
Donde
BTH = Bonificación Total por hijos nacidos vivos a que tiene derecho la beneficiaria
BHi = Bonificación por hijo nacido vivo que corresponde al 10% del valor de dieciocho ingresos mínimos para trabajadores mayores de 18 años de edad y hasta los 65 años, vigente en el mes de nacimiento del hijo, más una tasa de rentabilidad por cada mes completo, contado desde el mes del nacimiento del respectivo hijo y hasta el mes en que la madre cumpla los 65 años de edad. Con todo, en el caso de hijos nacidos antes del 1° de julio de 2009, el valor total de la bonificación por hijo corresponde al 10% del valor de dieciocho ingresos mínimos para trabajadores mayores de 18 años de edad y hasta los 65 años, vigente al 1° de julio de 2009, más una tasa de rentabilidad por cada mes completo, contado desde dicha fecha hasta el mes en que la madre cumpla los 65 años de edad.
n = Número de hijos de la beneficiaria
Resolución
4. Las resoluciones tanto de aceptación como de rechazo deberán emitirse por cada solicitud; sin embargo, si el IPS lo estima necesario, las resoluciones podrán ser masivas o individuales.
5. En las resoluciones de rechazo el IPS deberá detallar los fundamentos que se tuvieron para tal determinación.
6. En el caso de las solicitudes que se resuelvan solamente con la información contenida en el Sistema de Información de Datos Previsionales, el IPS deberá emitir las respectivas resoluciones a más tardar el antepenúltimo día hábil del mes siguiente a aquel en que fue suscrita la solicitud de bonificación, debiendo considerar en todo caso lo establecido en el número 12 siguiente y en el número 4 del Capítulo VIII del presente Título VII, respecto a la notificación de la resolución y el pago del beneficio como transferencia única, respectivamente. En caso contrario, vale decir, cuando de acuerdo a lo dispuesto en el número 3 del Capítulo V del presente Título VII, haya sido necesario solicitar información adicional, el IPS deberá emitir las respectivas resoluciones dentro del plazo antes señalado o más tardar a los 15 días hábiles desde la fecha en que se hayan reunido todos los antecedentes que permitan emitir un pronunciamiento aprobando o rechazando la solicitud, según cual sea posterior.
7. El IPS estará obligado a entregar copia de la resolución a las beneficiarias que lo soliciten. Cuando se trate de resoluciones masivas deberá entregar copia de la resolución y una certificación de que la interesada forma parte de la nómina integrante de la resolución.
8. Las resoluciones deberán contener al menos la siguiente información:
a) Número de Resolución.
b) Fecha de Emisión.
c) Tipo de resolución (Masiva o Individual).
d) Nombre completo (nombres y apellidos) de la beneficiaria.
e) Cédula nacional de identidad de la beneficiaria.
En caso de conceder el beneficio deberá además indicar:
f) Identificación de cada uno de los hijos por los cuales se otorga la bonificación, detallando para cada hijo:
i. Nombre completo (nombres y apellidos).
ii. Cédula nacional de identidad.
iii. Fecha de nacimiento.
iv. Valor de la bonificación.
v. Cuando se trata de una afiliada a AFP.
- Monto total en pesos de la bonificación otorgada.
- Fecha en que se traspasará la bonificación total a la AFP.
vi. Cuando se trata de una no afiliada a AFP.
- Monto mensual en pesos de la bonificación otorgada.
- Fecha en que se iniciará el pago mensual de la bonificación.
- Entidad a través de la cual se efectuará el pago.
Tratándose de las madres biológicas de hijos adoptados, de acuerdo con lo dispuesto en el artículo 78 de la Ley N° 20.255, el IPS sólo señalará el número de hijos nacidos vivos y la fecha de su nacimiento.
En caso de denegar el beneficio deberá además indicar:
g) Identificación de los hijos sin derecho a la bonificación detallando para cada hijo:
i. Nombre completo (nombres y apellidos).
ii. Cédula nacional de identidad.
h) Detalle de los fundamentos que se tuvieron para el rechazo.
9. En caso de resoluciones masivas los datos antes indicados deberán formar parte de una nómina que será parte integrante de la resolución.
10. Si con posterioridad a la fecha en que el IPS ha emitido una resolución de rechazo, la solicitante aporta nuevos antecedentes que podrían hacer variar la situación que originó el rechazo deberá suscribir una nueva solicitud. Asimismo, deberán presentar una nueva solicitud aquellas mujeres a las que se les hubiere concedido la bonificación por un determinado número de hijos y que con posterioridad acrediten la existencia de otros hijos en base a nuevos antecedentes.
11. El IPS mensualmente deberá actualizar el Sistema de Información de Datos Previsionales con la información de las resoluciones aceptadas y rechazadas.
Notificación
12. Las resoluciones emitidas por el IPS, sean éstas masivas o individuales, para el otorgamiento o rechazo de las bonificaciones solicitadas serán notificadas a las beneficiarias mediante correo certificado en un plazo máximo de 2 días hábiles, contado desde la fecha de su emisión. Adicionalmente, el IPS, a requerimiento del solicitante o beneficiaria de la bonificación, podrá notificar a través de medios electrónicos u otros medios, de lo cual deberá quedar constancia en la correspondiente solicitud de bonificación. En este último caso, este medio de notificación reemplazará al correo certificado.
13. Cualquiera sea la forma de emisión de la resolución que se notifique, deberá indicarse en la notificación que dicha resolución se encuentra a disposición del interesado en cualquier CAPRI, sucursal o Centro de Atención del IPS.
14. Sin perjuicio de los medios utilizados para notificar a las beneficiarias de la bonificación, se entenderá que existe notificación personal cuando éstas concurran a un CAPRI, a una sucursal o a un Centro de Atención del IPS y tomen conocimiento del hecho, de lo cual se deberá dejar constancia. Esta forma de notificación exime al IPS del procedimiento descrito en el número 13 anterior.
15. Toda notificación efectuada por correo certificado será dirigida al domicilio señalado en la solicitud de bonificación. Por su parte, las notificaciones efectuadas a través de medios electrónicos, deberán enviarse a la dirección electrónica señalada por el solicitante o beneficiaria en la correspondiente solicitud.
16. La notificación de la resolución deberá indicar el número y fecha de la resolución que se notifica y a lo menos lo siguiente, dependiendo del caso que se trate:
a) Número de la resolución.
b) El monto total de la bonificación en $ (pesos) a enterar en la cuenta de capitalización individual en caso de afiliadas al D.L. N° 3.500.
c) El monto del pago mensual expresado en pesos y la entidad pagadora, en el caso de beneficiarias que perciben una PGU, según lo indicado en el literal ii, letra b), número 1, del Capítulo III del presente Título, o una pensión de sobreviencia, según lo indicado en el literal iii, de la letra b) antes referida.
d) El número de hijos considerados en el total de la bonificación.
e) La causal de rechazo, en el caso de denegarse el beneficio.
f) Fecha en que será pagada la bonificación a la AFP como un solo valor o mes en que la entidad correspondiente comenzará a pagar el beneficio junto con la pensión.
g) Identificación de cada uno de los hijos por los cuales se otorga la bonificación, detallando para cada hijo:
i. Nombre completo (nombres y apellidos).
ii. Cédula nacional de identidad.
iii. Valor de la bonificación.
Lo anterior es sin perjuicio de lo indicado en el número 8, letra f) del presente Capítulo VI respecto del caso de la madre biológica de hijos adoptados.
Nota de actualización: Este número fue modificado por la Norma de Carácter General N° 304, de fecha 29 de diciembre de 2022.
17. El IPS deberá informar a la solicitante o a quien la represente debidamente acerca del estado de tramitación de la solicitud de bonificación, cada vez que ésta lo requiera.
18. Todas las resoluciones que aprueben el pago de una bonificación, en el mismo plazo señalado en el número 12 anterior, deberán informarse a la Administradora donde se encuentra afiliada la beneficiaria o la institución responsable del pago del beneficio, cuando se trate de beneficiarias de PGU del literal ii, letra b), número 1 del Capítulo III del presente Título, o de beneficiarias de pensiones de sobrevivencia del literal iii, de la letra b) antes referida. Estas comunicaciones deberán efectuarse electrónicamente y deberán contener la información señalada en los puntos 2.1 y 2.2 del Anexo Nº II, Archivos a Transmitir desde el IPS a las AFP, del presente Título.


