- Administración de Cuentas Personales
- Administración de Riesgo
- Administradora de Fondos de Pensiones
- Afiliación a una A.F.P.
- Afiliación Múltiple
- Afiliación voluntaria
- Afiliado
- Agencia
- Agente de Venta
- Ahorro Previsional Colectivo
- Ahorro Previsional Voluntario
- Aporte Previsional
- Archivo
- Archivo Centralizado
- Archivo previsional
- Asesoría Previsional
- Aviso
- Base de Datos
- Beneficio Previsional
- Bonificación
- Bonificación Hijo
- Bono de Reconocimiento
- Cartera de Inversión
- Centro Atención Previsional Integral
- Centro de Servicio
- Cobranza Judicial
- Comisión Máxima
- Compensación
- Compensación Económica
- Conflicto de Interés
- Contabilidad
- Convenio de pago
- Convenio Internacional
- Cónyuge
- Costo previsional
- Cotización
- Cotización voluntaria
- Cuenta de ahorro de administración
- Cuenta de ahorro de indemnización
- Cuenta de ahorro voluntario
- Cuenta de capitalización individual
- Cuenta de rezago
- Cuenta personal
- Cuota de Fondo de Pensión
- Custodia
- Declaración
- Depósito convenido
- Depósito de Ahorro Previsional Colectivo
- Déposito de Ahorro Previsional Voluntario
- Desafiliación
- Descripción registro de archivo
- Deuda previsional
- Devolución de pago
- Dirección de Previsión de Carabineros de Chile
- Director
- Empleador
- Encaje
- Estadística general
- Estado de Cambio
- Estado de Cuenta Personal
- Exención de pago
- Extranjero
- Fondos de Pensiones
- Formulario Único de Notificación
- Garantía Estatal
- Gendarmería de Chile
- Informe Diario
- Informe estadístico
- Informe Financiero
- Instituto de Normalización Previsional
- Instituto de Previsión Social
- Instrumento Financiero
- Internet
- Inversión Fondo de Pensión
- Junta de Accionistas
- Licitación
- Listado Público
- Mandatario de afiliado
- Mandato
- Memoria anual
- Microcopia
- Mortalidad
- Obligación Administradora
- Obligación Compañía Seguros de Vida
- Pacto de indemnización sustitutiva
- Pensión Básica
- Pensión de Invalidez
- Pensión de Sobrevivencia
- Pensión de Vejez
- Perjuicio
- Planilla de declaración
- Planilla de pago
- Prohibición de Discriminación
- Promotor
- Proyección
- Publicidad
- Reclamo
- Registro histórico
- Rentabilidad
- Renta vitalicia
- Responsabilidad Administradora
- Retiro de Fondos
- Retiro programado
- Seguro de Invalidez y Sobrevivencia
- Servicio de Impuestos Internos
- Sistema Consulta de Oferta
- Sistema de Pensiones de Capitalización Individual
- Sistema Solidario
- Sociedad Anónima
- Subsidio
- Superintendencia de Pensiones
- Superintendencia de Seguridad Social
- Tablas de Mortalidad
- Tesorería General de la República
- Trabajador de casa particular
- Trabajador dependiente
- Trabajador Empresa Carbonífera
- Trabajador independiente
- Trabajador joven
- Trabajo pesado
- Transmisión Electrónica
- Traspaso
- Tratamiento Contable
- Tributación
- Valorización
Libro III, Título X Tablas de Mortalidad, Anexos
Texto no definido
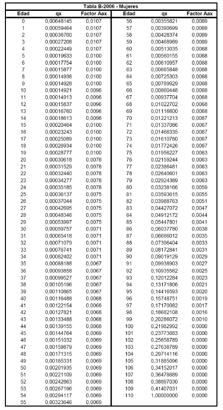
Anexo Nº 3 Tablas de mortalidad B-2006 (Hombres y mujeres) y MI-2006 (Hombres y mujeres)
- Libro I Afiliación al Sistema de Pensiones del D.L. N° 3.500 de 1980
- Título I Afiliación e Incorporación a una Administradora de Fondos de Pensiones
- Título II Desafiliación
- Título III Administración de Cuentas Personales
- Título IV Estados de Cuenta Personal
- Título V Cuenta de Ahorro de Indemnización
- Título VI Archivo Previsional
- Título VII Reclamos: Anomalías en Afiliación, Cuentas Personales, Cotizaciones y Traspasos
- Título VIII Perjuicios causados a los Afiliados en su Cuenta de Capitalización Individual por hechos u omisiones imputables a la Administradora
- Título IX Información sobre Rentabilidad de la Cuota de los Fondos de Pensiones y Costo Previsional
- Título X Contratos de Traspasos futuros de Cuentas Personales entre Tipos de Fondos de Pensiones según edad
- Libro II Cotizaciones Previsionales
- Título I Cotizaciones y Aportes Previsionales por desempeño de Trabajos Pesados
- Título II Cotizaciones Voluntarias, Depósitos Convenidos y Ahorro Previsional Voluntario
- Título III Depósitos Convenidos
- Título IV Regulación conjunta de los Depósitos de Ahorro Previsional Voluntario Colectivo
- Título V Bonificación del Articulo 20 del D.L N° 3500 de 1980
- Título VI Tributación de la Cuenta de Ahorro Voluntario
- Título VII Traspaso de Fondos por Compensación Económica y por leyes especiales
- Título VIII Pago de las cotizaciones
- Título IX Cobranza de cotizaciones previsionales
- Título X Información de empleadores que deben proporcionar las AFP
- Título XI Exención de pago de cotizaciones previsionales a técnicos extranjeros y las empresas que los contraten. Devolución de fondos previsionales
- Título XII Subsidio al empleo de la Ley N° 20.338. Instrucciones a las Administradoras de Fondos de Pensiones y al Instituto de Previsión Social respecto de la información a entregar sobre el pago de cotizaciones
- Título XIII El Subsidio a los Trabajadores Jóvenes
- Título XIV Regulaciones comunes en relación al intercambio de información entre las Administradoras de Fondos de Pensiones, el Servicio de Impuestos Internos y la Tesorería General de la República, referidas a la obligación de cotizar de los trabajadores independientes
- Título XV Subsidio al Empleo de la Mujer de la Ley N° 20.595. Instrucciones a las Administradoras de Fondos de Pensiones y al Instituto de Previsión Social respecto de la Información a entregar sobre el Pago de Cotizaciones
- Libro III Beneficios Previsionales
- Título I Pensiones
- Título II Sistema de Consultas y Ofertas de Montos de Pensión
- Título III Bono de Reconocimiento
- Título IV Otorgamiento de Beneficios Previsionales en virtud de los convenios internacionales sobre seguridad social
- Título V Sistema Solidario de Pensiones
- Título VI Garantía Estatal por Pensión Mínima
- Título VII Bonificación por Hijo Nacido Vivo para las mujeres
- Título VIII Indemnización Compensatoria, Artículos 11 y 12 de la Ley N° 19.129 para los Trabajadores de las Empresas Carboníferas
- Título IX Proyección de Pensión Personalizada del Afiliado
- Título X Tablas de Mortalidad
- Título XI Instrucciones para emitir listado público de potenciales pensionados y solicitantes de pensión, Artículo 72 bis del D.L. N° 3.500, de 1980
- Título XII Estadísticas de afiliados pensionados
- Título XIII Archivo Centralizado de Expedientes de Calificación de Invalidez
- Título XIV Aporte Ley Nº 18.675
- Título XV Normas transitorias para el otorgamiento de pensiones y otros beneficios previsionales causados con anterioridad al 01-01-1988
- Título XVI Bonificación de Salud para Pensiones, Ley Nº 20.531
- Libro IV Fondos de Pensiones y Regulación de Conflictos de Intereses
- Título I Inversión de los Fondos de Pensiones, Políticas de Inversión y Solución de Conflictos de Interés
- Título II Inversión de los Fondos de Pensiones en el extranjero
- Título III Valorización de las Inversiones del Fondo de Pensiones y del Encaje
- Título IV Comisiones Máximas que pueden ser pagadas con cargo a los Fondos de Pensiones
- Título V Publicación de la Composición de Cartera de Inversión de los Fondos de Pensiones
- Título VI Normas para la entrega de información de las Carteras de Inversión
- Título VII Contabilidad de los Fondos de Pensiones y de las Administradoras de Fondos de Pensiones
- Título VIII Informes Diarios que deben presentar las Administradoras de Fondos de Pensiones
- Título IX Directores y Juntas de Accionistas, Juntas de Tenedores de Bonos y Asambleas de Aportantes de Fondos de Inversión
- Título X Conflictos de Intereses
- Título XI Instrucciones en materia de prevención de lavado de activos y financiamiento del terrorismo
- Libro V Aspectos Administrativos y Operacionales de las Administradoras de Fondos de Pensiones y del Instituto de Previsión Social
- Título I Formación de una Administradora de Fondos de Pensiones
- Título II Constitución y Autorización de Existencia de Sociedades Anónimas cuyo giro sea la Administración de Recursos Previsionales
- Título III Agencias y Centros de Servicios, Servicios por internet y publicidad de las Administradoras de Fondos de Pensiones
- Título IV Centros de Atención Previsional Integral, CAPRI
- Título V Contratación de Servicios por las Administradoras de Fondos de Pensiones y el Instituto de Previsión Social
- Título VI Licitación del Servicio de Administración de Cuentas de Capitalización Individual
- Título VII Contratación del Seguro de Invalidez y Sobrevivencia
- Título VIII Asesoría Previsional
- Título IX Archivo de Promotores, Agentes de Ventas y Personal de Atención de Público de las Administradoras
- Título X Estadística de Afiliados y Cotizantes
- Título XI Base de Datos de Afiliados, Cotizantes, Beneficiarios, Pensionados y Fallecidos
- Título XII Recepción y envío de archivos por Transmisión Electrónica
- Título XIII Microcopia o Micrograbación y destrucción de Documentos
- Título XIV Instrucciones sobre Administración de Riesgo en las Administradoras de Fondos de Pensiones
- Título XV Información de las Sociedades del Grupo Empresarial de la Administradora
- Título XVI Designación del representante de las Administradoras de Fondos de Pensiones en la Comisión de Usuarios del Sistema de Pensiones
- Título XVII Instrucciones sobre Administración de Riesgo en el Instituto de Previsión Social



