Libro III, Título XV, Letra B Pensiones de Invalidez y Sobrevivencia causadas por un afiliado no cotizante
Capítulo IV. Pensiones de Vejez
Materias asociadas: Pensión de Invalidez / Pensión de Sobrevivencia
Para el otorgamiento de las pensiones de vejez, las Administradoras deberán atenerse estrictamente a lo señalado en el Título I del presente Libro III.
Sin perjuicio de lo anterior, las pensiones bajo la modalidad de retiros programados que comiencen a pagarse en los meses de enero, febrero y marzo de 1988, Podrán calcularse de acuerdo al procedimiento que se señala más adelante, en todo caso, éstas deberán ser recalculadas y reliquidadas, de acuerdo a la fórmula de cálculo descrita en el D.L. N° 3.500, de 1980, modificado, dentro de los 90 días contados desde el 1° de enero de 1988.
El afiliado que cumpla los requisitos para pensionarse por vejez, podrá optar por mantener el saldo de su cuenta individual en una Administradora y efectuar con cargo a ella retiros programados de acuerdo al procedimiento que se señala a continuación.
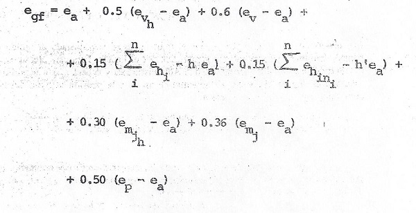
a) Cálculo de la expectativa de vida del grupo familiar
Para estos efectos, expectativa de vida del grupo familiar será la suma de los siguientes términos, a la fecha de devengamiento de la pensión de vejez:
donde:
ea = expectativa de vida del afiliado.
Si alguno de los períodos que exceden de la expectativa de vida del afiliado resulta inferior a cero deberá reemplazarse por cero para los efectos de la suma antes indicada.
La expectativa de vida del grupo familiar será aquella que se determine a la fecha de devengamiento de la pensión.
b) Cálculo de la anualidad
La Administradora deberá calcular cada año, en el mismo mes calendario en que se acogió a pensión, una anualidad en cuotas, que resulte de dividir los siguientes términos:

S = Saldo efectivo de la cuenta individual
egf = Expectativa de vida de] grupo familiar
c) Cuota de retiro mensual
La anualidad será pagada por la Administradora al afiliado en doce mensualidades, las que se obtendrán dividiendo el monto de la anualidad, por doce.
En todo caso, el afiliado podrá optar por retirar una suma inferior o porque el retiro mensual sea ajustado al monto de la pensión mínima de vejez garantizada por el Estado. Para estar afecto, deberá efectuar el requerimiento por escrito a la Administradora, el que deberá ser archivado en el Expediente de Pensión.
d) Ficha de cálculo
Los antecedentes que respaldan el cálculo de las pensiones de vejez, deben ser registrados en el formulario Ficha de Cálculo, de acuerdo a los formularios establecidos en el Título I del presente Libro III.
El original de este formulario deberá ser ingresado en el Expediente de Pensión y una copia deberá ser entregada al afiliado, junto al pago de la primera pensión o al traspaso de la prima a la Compañía de Seguros, según proceda.
