Libro III, Título V, Letra B Solicitud de los Beneficios
Capítulo IX. Procedimiento de Cálculo del Puntaje de Focalización Previsional
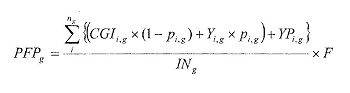
1. Fórmula de cálculo
El Puntaje de Focalización Previsional (PFP) será calculado por el IPS utilizando la siguiente fórmula:
Donde:
PFPg : Puntaje de Focalización Previsional del grupo familiar g.
CGIi,g : Capacidad generadora de ingresos del individuo i en el grupo familiar g.
pi,g : Ponderador de los ingresos laborales del individuo i en el grupo familiar g.
Yi,g : Ingresos laborales del individuo i en el grupo familiar g.
YPi,g : Ingresos por pensiones y aquellos ingresos provenientes de bienes de capital físicos y financieros; y otros ingresos no considerados en Yi,g del individuo i en el grupo familiar g.
INg : Índice de necesidades del grupo familiar g.
ng : Número de integrantes del grupo familiar g.
g : Corresponde al grupo familiar definido en el artículo 4° de la Ley N° 20.255.
F : Factor de transformación monótona del instrumento para dejarlo en términos de puntaje.
2. Fuentes de datos y procesamiento de la información
El IPS calculará los componentes de la fórmula del PFP, utilizando la información proveniente de las siguientes fuentes:
2.1 Ministerio de Desarrollo Social y Familia (MDSF): Entregará a) el valor de la CGI i,g , para cada individuo i en el grupo familiar g, así como la fecha a que corresponde dicho valor; b) el indicador jefe familia correspondiente al individuo i en el grupo familiar g; c) el factor de dependencia para cada individuo i en el grupo familiar g; d) los ingresos laborales medidos como promedio mensual de los últimos 12 meses calendario para cada individuo i en el grupo familiar g; e) los ingresos por jubilaciones o pensiones medidos como promedio mensual de los últimos 12 meses disponibles para cada individuo i en el grupo familiar g; f) los ingresos por rentas de capital medidos como promedio mensual de los últimos 12 meses para cada individuo i en el grupo familiar g; g) la fecha de nacimiento para cada individuo i en el grupo familiar g; h) el género para cada individuo i en el grupo familiar g; i) el identificador del grupo familiar; j) la fecha de aplicación del instrumento de caracterización social; k) el RUN y dígito verificador de cada individuo i; l) el folio del instrumento de caracterización social para el grupo familiar; m) la fecha de consulta a las bases de MDSF; n) el puntaje del instrumento de caracterización social del grupo familiar; ñ) condición de estudiante para cada individuo i en el grupo familiar g, y o) condición de embarazada para cada mujer i en el grupo familiar g. Los integrantes del grupo familiar del solicitante corresponden a parejas e hijos según el instrumento de caracterización social.
Nota de actualización: Este numeral fue modificado por la Norma de Carácter General Nº 84, de fecha 7 de junio de 2013. Posteriormente fue reemplazado por la Norma de Carácter General N° 170, de 26 de febrero de 2016.
El IPS deberá requerir al MDSF que especifique la fuente de información, esto es, si los datos proporcionados provienen de información autoreportada o de fuentes administrativas, debiendo priorizar el uso de éstas últimas.
2.2 Administradoras de Fondos de Pensiones (AFP): Entregarán directamente al IPS los registros administrativos de remuneraciones y rentas imponible, respecto de cada empleador, de los últimos 12 meses calendario disponible para cada individuo i en el grupo familiar g. Este período podrá contener ausencia de información de remuneración. Asimismo, deberá informar las pensiones de vejez, sobrevivencia e invalidez en retiro programado y renta temporal, del último mes disponible, para cada individuo i en el grupo familiar g; para el caso de pensionados certificados como enfermos terminales deberán considerar como monto de pensión percibida, la pensión de referencia que define el artículo 70 bis del D.L. N° 3.500, de 1980, según el tipo de afiliado de que se trate. Deberá indicar la fecha a la que corresponden dichos ingresos y pensiones y la unidad de medida considerada. El monto de pensión podrá ser igual o mayor a cero. Las pensiones proporcionadas por las Administradoras no considerarán los Aportes Previsionales Solidarios (APS), la PGU, las pensiones financiadas con ahorros que el trabajador voluntariamente destine a pensión, las pensiones generadas por garantía estatal ni el bono post laboral de la Ley N° 20.305.
Adicionalmente, deberán proporcionar al IPS para cada individuo i del grupo familiar g con 60 o más años de edad en el caso de las mujeres, y 65 o más en el caso de los hombres, información relativa al término de cada una de las relaciones laborales a las que corresponden las remuneraciones informadas, con la finalidad que proceda según lo indicado en el numeral 3.2.
2.3 Compañías de Seguros de Vida: Entregarán directamente al IPS los registros administrativos de pensiones de vejez, sobrevivencia e invalidez en renta vitalicia, del último mes disponible, para cada individuo i en el grupo familiar g. Deberá informar la fecha a la que corresponde dicha pensión y la unidad de medida considerada. Las pensiones proporcionadas por las Compañías de Seguros no considerarán los APS, la PGU, las pensiones generadas por garantía estatal ni el bono post laboral de la Ley N° 20.305.
2.4 Servicio de Impuestos Internos (SII): El IPS requerirá al SII información de rentas del capital y otros ingresos distintos a honorarios, líquidos y promedio mensual de los últimos 12 meses disponibles y o del último año calendario para cada individuo i en el grupo familiar g, contenidos en el Formulario 22 de Declaración de Impuesto a la Renta y las Declaraciones Juradas respectivas. Deberá informar la fecha a la que corresponde la información y la unidad de medida considerada.
Asimismo, mensualmente entregará información de los ingresos por honorarios brutos correspondientes a las boletas de los últimos 12 meses calendario disponibles, para cada individuo i del grupo familiar g.
2.5 Mutualidades de Empleadores de la Ley N°16.744 e Instituto de Seguridad Laboral: Entregarán información de pensiones de invalidez y sobrevivencia del último mes disponible, para cada individuo i en el grupo familiar g. Deberán informar la fecha a la que corresponden dichas pensiones y la unidad de medida considerada. Las pensiones
proporcionadas no considerarán la Pensión Garantizada Universal.
Asimismo, entregarán información de la remuneración imponible a la que corresponde la cotización para el seguro de accidentes del trabajo y enfermedades profesionales, respecto de cada empleador, de los últimos 12 meses calendario disponibles, para cada individuo i del grupo familiar g. Junto con lo anterior, deberán proporcionar al IPS para cada individuo i del grupo familiar g con 60 o más años de edad en el caso de las mujeres, y 65 o más en el caso de los hombres, información relativa al término de cada una de las relaciones laborales a las que corresponden las remuneraciones informadas, con la finalidad que proceda según lo indicado en el numeral 3.2.
2.6 CAPREDENA y DIPRECA: Entregarán información de montepío, viudez, orfandad y otras, del último mes disponible, para cada individuo i en el grupo familiar g.
2.7 Tesorería General de la República: entregará información de Pensiones de Gracia Ley N° 18.056, Pensiones Premio Nacional Ley N° 19.169, Pensiones de Invalidez y Montepío de Defensa, Pensiones de Vejez y Viudez ex Tranviarios Ley N° 16.466, Sueldos Vitales, Pensiones Mínimas Ley N° 15.386, Pensiones Sub Teniente Luis Cruz Martínez D.L. N° 1.093, Pensiones Ley N° 19.980, Pensiones de Avenimiento y Pensión no reconocida, del último mes disponible, para cada individuo i en el grupo familiar g. Deberá informar la fecha a la que corresponden dichas pensiones y la unidad de medida considerada.
Nota de actualización: Este numeral fue incluido por la Norma de Carácter General N° 108, de fecha 31 de enero de 2014.
2.8 Ministerio de Educación: entregará información sobre la calidad de estudiante para cada individuo i en el grupo familiar g.
2.9 Administradora de Fondos de Cesantía (AFC): Entregará información al IPS de los registros administrativos de remuneraciones de los últimos 12 meses calendario disponibles para cada individuo i en el grupo familiar g. Junto con lo anterior, deberán proporcionar al IPS para cada individuo i del grupo familiar g con 60 o más años de edad en el caso de las mujeres, y 65 o más en el caso de los hombres, información relativa al término de cada una de las relaciones laborales a las que corresponden las remuneraciones informadas, con la finalidad que proceda según lo indicado en el numeral 3.2.
Adicionalmente, la información necesaria para calcular F en la fórmula del PFP será proporcionada al IPS, por el Ministerio del Trabajo y Previsión Social y el Ministerio de Hacienda, con copia a la Superintendencia de Pensiones, cada vez que se produzca un cambio.
El IPS deberá utilizar la información de que disponga en el Sistema de Información de Datos Previsionales para el correcto cálculo del PFP.
El IPS deberá expresar todos los valores monetarios proporcionados por las entidades anteriormente mencionadas, incluido el umbral CASEN, en pesos del período base utilizado por el SII. De esta forma, todas las entidades que proporcionan información al IPS deberán informar la unidad de medida de la información que reportan y la fecha a la que ésta corresponde. Los factores de ajuste para actualizar la información a pesos del período de referencia deben considerar el cuociente entre el valor de la UF del último día del mes de referencia, dividido por el valor de la UF de la fecha en que se encuentra la información que se desea actualizar.
Nota de actualización: Este último párrafo fue modificado por la Norma de Carácter General Nº 84, de fecha 7 de junio de 2013.
Las especificaciones técnicas de los archivos que intercambiarán el IPS y las entidades antes señaladas, para efectos del cálculo del puntaje de focalización previsional para la concesión de los beneficios solidarios, se encuentran disponibles en la sección "Transferencia Electrónica de Archivos", del sitio web de la Superintendencia de Pensiones.
Para los efectos referidos en el párrafo precedente, el IPS acordará con la AFC y el SII, la fecha y forma de envío de la información a que alude el citado párrafo.
3. Metodología para el cálculo de los componentes del PFP
3.1 Variables
Las variables que se utilizan para el cálculo del PFP se determinan de la siguiente forma:
CGI i,g: Es la Capacidad Generadora de Ingresos del individuo i en el grupo familiar g. Para la determinación de la Capacidad Generadora de Ingresos se utilizará la metodología que para ello contempla el cálculo de la variable a partir de la información del Registro Social de Hogares, considerando como unidad de análisis al grupo familiar. Con todo, no se considerarán las reducciones de la CGI para aquellas personas que tengan la calidad de cuidadores.
Nota de actualización: Este párrafo fue modificado por la Norma de Carácter General Nº 84, de fecha 7 de junio de 2013. Posteriormente fue modificado por la Norma de Carácter General N° 170, de 26 de febrero de 2016. Posteriormente fue modificado por la Norma de Carácter General N° 222, de 2 de abril de 2018.
Esta variable deberá ser imputada igual a cero por el IPS en los siguientes casos:
Tabla 1: Listado de excepciones con CGIi,g igual a cero
|
1 2 3 4 5 6 |
Personas con edad igual o menor a 15 años Mujeres con edad igual o mayor a 60 años Hombres con edad igual o mayor a 65 años Embarazadas Personas que presentan dependencia severa, leve o moderada Estudiantes menores de 24 años de edad |
Nota de actualización: Esta tabla fue modificada por la Norma de Carácter General Nº 73, de fecha 4 de enero de 2013, Modifica las Letras B, E y L, del Título V, del Libro III Sobre Beneficios Previsionales, del Compendio de Normas del Sistema de Pensiones.
El IPS deberá actualizar la condición de embarazada que informe MDSF considerando el período transcurrido desde la aplicación del instrumento de caracterización socioeconómica y la fecha de cálculo del PFP.
Nota de actualización: Este párrafo fue modificado por la Norma de Carácter General Nº 84, de fecha 7 de junio de 2013. Posteriormente fue modificado por la Norma de Carácter General N° 170, de 26 de febrero de 2016.
En caso que el solicitante requiera la reconsideración de su grupo familiar, el IPS deberá verificar la condición de estudiante del potencial integrante, utilizando la información disponible en el Sistema de Información de Apoyo a la Gestión y Fiscalización de los Regímenes de Prestaciones Familiares y Subsidio Familiar (SIAGF).
Nota de actualización: El párrafo a continuación de la tabla fue reemplazado por la Norma de Carácter General Nº 73, de fecha 4 de enero de 2013, Modifica las Letras B, E y L, del Título V, del Libro III Sobre Beneficios Previsionales, del Compendio de Normas del Sistema de Pensiones.
pi,g : Corresponde al ponderador de los ingresos laborales del individuo i en el grupo familiar g.
El IPS deberá asignar un valor de pi,g para el individuo i en el grupo familiar g de acuerdo a lo indicado en la Tabla 2, utilizando la información sobre fecha de nacimiento y género proporcionada por MDSF. Es decir, pi,g es igual a 0,1 hasta nueve años antes de la edad legal para pensionarse por vejez. A partir de los 57 años para el caso de los hombres y los 52 años para el caso de las mujeres el ponderador aumentará en 0,1 por año hasta llegar a un valor igual a 1 a la edad legal para pensionarse por vejez (65 años para los hombres y 60 años para las mujeres), manteniéndose en ese valor. Cuando el valor del CGIi,gpara el individuo i en el grupo familiar g tenga un valor igual a cero, el ponderador de los ingresos laborales pi,g debe tomar un valor igual a 1.
Nota de actualización: Este párrafo fue modificado por la Norma de Carácter General Nº 84, de fecha 7 de junio de 2013.
La Tabla 2 presenta, el valor que debe tomar el ponderador pi,g por edad y género.
Tabla 2: ponderador pi,g por edad y género
| Edad Mujer | Edad Hombre | pi,g |
|
16 a 51 52 53 54 55 56 57 58 59 60 o más |
16 a 56 57 58 59 60 61 62 63 64 65 o más |
0,1 0,2 0,3 0,4 0,5 0,6 0,7 0,8 0,9 1,0 |
Yi,g : Corresponde a los ingresos laborales del individuo i en el grupo familiar g. Se calculan de acuerdo a lo siguiente:
Dónde:
Yi,g : Ingresos laborales del individuo i en el grupo familiar g.
Los ingresos laborales se determinarán considerando los ingresos que se deriven de fuentes administrativas y, en caso de no existir éstos, aquellos autoreportados para cada integrante del grupo familiar en el Registro Social de Hogares, expresados como promedio mensual. Si para una misma relación laboral, no existe coincidencia en los ingresos informados por las distintas fuentes administrativas, se deberá considerar el de mayor monto. Ausencia de información se entenderá cuando la variable respectiva se encuentre vacía o tenga un punto, no así cuando la variable contenga un cero.
Y'i,g : Los ingresos laborales (Y'i,g) se determinarán considerando la información de ingresos del trabajo autoreportados para cada integrante del grupo familiar en el Registro Social de Hogares, los registrados por el Servicio de Impuestos Internos y aquellos que se deriven de las cotizaciones previsionales enteradas.
Esta variable está compuesta por la suma de: a) ingresos por honorarios líquidos promedio mensual para el individuo i en el grupo familiar g (Yi,gHL); b) sueldos laborales líquidos promedio mensual para el individuo i en el grupo familiar g (Yi,gSL) y c) otros ingresos promedio mensual exentos y no imponibles (Yi,gOI). Para determinar los ingresos por honorarios líquidos, el IPS deberá considerar el 80% de los ingresos por honorarios brutos.
Y'i,g = Yi,gHL + Yi,gSL + Yi,gOI
Las variables (Yi,gHL) e (Yi,gOI) serán proporcionadas por el SII. La variable (Yi,gSL) será calculada por el IPS de acuerdo a lo señalado en el numeral 3.2 siguiente.
Si el IPS observa ausencia de información simultáneamente en los tres componentes de la variable de ingresos laborales del individuo i en el grupo familiar g (Yi,g ), entonces deberá utilizar la información de ingresos laborales entregada por el Ministerio de Desarrollo Social y Familia, la que debe estar expresada como promedio mensual. Ausencia de información se entenderá cuando la variable respectiva se encuentre vacía o tenga un punto, no así cuando la variable contenga un cero.
Nota de actualización: Este párrafo fue modificado por la Norma de Carácter General Nº 91, de fecha 3 de septiembre de 2013.
Nota de Actualización: El contenido de esta variable fue modificado por la Norma de Carácter General N° 222, de 2 de abril de 2018.
PMAS: Pensión Máxima con Aporte Solidario.
Nota de actualización: Esta variable fue incorporada por la Norma de Carácter General N° 222, de 2 de abril de 2018.
YPi,g : Corresponde al componente de ingreso permanente y está compuesta por la suma de: a) ingresos por rentas del capital líquidos promedio mensual para el individuo i en el grupo familiar g (Yi,gKL) y b) la pensión líquida promedio mensual para el individuo i en el grupo familiar g (Yi,gPL).
YPi,g = Yi,gKL + Yi,gPL
La variable Yi,gKL será proporcionada por el SII. La variable Yi,gPL será calculada por el IPS de acuerdo a lo señalado en el numeral 3.2 siguiente.
Si el IPS observa que hay ausencia de información sobre ingresos por rentas del capital del SII, correspondiente a ingresos por rentas del capital líquidos promedio mensual para el individuo i en el grupo familiar g (Yi,gKL), entonces deberá reemplazar dicha variable por la información de Ingresos por rentas de capital en base a información auto reportada entregada por MDSF, la que debe estar expresada como promedio mensual. Ausencia de información se entenderá cuando la variable respectiva se encuentra vacía o tenga un punto, no así cuando la variable contiene un cero.
Si el IPS observa que la variable Yi,gKL presenta valores negativos, deberá considerarla con valor cero.
INg: Corresponde al índice de necesidades del grupo familiar g.
Este índice se determinará de la siguiente forma:
a) Se identifican a los integrantes del grupo familiar;
b) Se calculará un factor de dependencia para cada uno de los integrantes del grupo familiar, considerando el grado de dependencia de cada uno de ellos determinado a partir de la información disponible en el Registro Social de Hogares. Esta variable tomará los siguientes valores:
| Tabla 3: Factor de Dependencia | |
|---|---|
| 1 | Sano |
| 1,2353 | Autovalente |
| 1,4706 | Dependiente leve |
| 1,8235 | Dependiente moderado |
| 2,3774 | Dependiente severo, muy severo o postrado |
Nota de actualización: Esta Tabla fue modificada por la Norma de Carácter General Nº 91, de fecha 3 de septiembre de 2013.
En el caso de los solicitantes de una PBSI, el IPS asignará al factor de dependencia un valor de 2,3774, equivalente a un grado de dependencia severo, muy severo o postrado, cuando el solicitante presente valores inferiores en la información remitida por el MDSF. En todo caso el citado Instituto deberá recalcular el PFP una vez que disponga de la calificación de invalidez otorgada por las Comisiones Médicas, en caso que el beneficiario haya sido calificado con una invalidez parcial. El IPS deberá considerar la información administrativa que disponga referida a la calificación de invalidez de los integrantes del grupo familiar del solicitante.
Para los solicitantes de APSI pensionados del D.L. N° 3.500, de 1980, y para los integrantes de su grupo familiar, el IPS deberá considerar la calificación de invalidez otorgada por las Comisiones Médicas e informada por las AFP a ese Instituto, o dictaminadas por las COMPIN según corresponda para cada persona, imputando un factor de dependencia de 1,8235 ó 2,3774, cuando el beneficio corresponda a una invalidez parcial o total, respectivamente.
Para solicitantes de APSI pensionados de invalidez en los regímenes administrados por el IPS, y para los integrantes inválidos de su grupo familiar, el IPS deberá considerar la calificación de invalidez dictaminada por las COMPIN u otorgadas por las Comisiones Médicas según corresponda. El factor de dependencia a utilizar para el cálculo del PFP será el mismo indicado en el párrafo anterior.
Para quienes estén en goce de un beneficio solidario de invalidez y soliciten un beneficio solidario de vejez, o éste se tramite de oficio, el cálculo del PFP deberá efectuarse considerando que el solicitante tiene 65 años de edad y que el factor de dependencia tanto para el solicitante como para los integrantes de su grupo familiar, es de 1,8235 ó 2,3774, según la condición de invalidez registrada en el respectivo dictamen. Sólo en ausencia del dictamen de invalidez deberá considerarse el dato informado por el MDSF.
Nota de actualización: Este párrafo fue incorporado por la Norma de Carácter General Nº 171, de fecha 26 de febrero de 2016.
Nota de actualización: Esta letra fue modificada por la Norma de Carácter General N° 222, de fecha 2 de abril de 2018.
c) El factor de dependencia utilizado se ajustará de acuerdo a la edad según la fórmula siguiente:
Donde:
FDAi,g,s : Factor de dependencia ajustado del individuo i, perteneciente al grupo familiar g y de sexo s.
FDi,g : Factor de dependencia del individuo i determinado del grupo familiar g determinado de acuerdo a la letra b) anterior.
FDs : Factor de dependencia sano, la variable toma valor igual a 1.
FDL : Factor de dependencia leve, la variable toma valor igual a 1, 4706.
FDSev : Factor de dependencia severo, la variable toma valor igual a 2,3774
S : Sexo del individuo, donde H es hombre y M mujer.
ev65,S : Esperanza de vida a los 65 años de edad según sexo.
ev65,H : 20,45
ev65,M : 25,51
Nota de actualización: Esta letra fue modificada por la Norma de Carácter General N° 222, de fecha 2 de abril de 2018.
d) Finalmente, se considerarán las economías de escala que se producen al interior del grupo familiar. Para ello, a la suma de los factores de dependencia ajustados del grupo familiar se le restará 0,3 por cada uno de los integrantes del grupo familiar superior a uno, como lo indica la fórmula siguiente:
Nota de actualización: Esta variable fue reemplazada por la Norma de Carácter General Nº 84, de fecha 7 de junio de 2013.
ng : Corresponde al número de integrantes del grupo familiar g. El IPS utilizará el identificador del grupo familiar proporcionado por MDSF, para determinar a aquellos individuos que deben ser incluidos en un mismo grupo familiar para calcular un único PFP de ese grupo.
El Instituto de Previsión Social deberá reajustar el valor del umbral Casen en la oportunidad en que reciba la base de datos actualizada del Servicio de Impuestos Internos con la información obtenida de la operación renta. Dicho umbral se reajustará de acuerdo con la variación que experimente el valor de la Unidad de Fomento al 31 de diciembre de cada año, de manera de que quede expresado en pesos de diciembre del mismo año al que corresponde la información proveída por el servicio.
F : Factor de transformación monótona del instrumento para dejarlo en términos de puntaje. El valor F corresponde al cuociente entre el puntaje de corte vigente para tener acceso a los beneficios del Sistema de Pensiones Solidarias y el valor del umbral Casen proporcionado en forma conjunta por el Ministerio del Trabajo y Previsión Social y el Ministerio de Hacienda; y se determina de la siguiente manera:
3.2 Metodología de cálculo para las variables Yi,gSL e Yi,gPL
Para el cálculo de las variables Yi,gSL e Yi,gPL , contenidas en Yi,g e YPi,g respectivamente, se utilizarán las siguientes variables auxiliares:
Yi,gBR se define como los ingresos brutos (antes de impuesto a la renta) totales anuales, provenientes tanto de remuneraciones (Yi,gREM ) como pensiones (Yi,gPEN ) para cada individuo i en el grupo familiar g.
El componente de remuneraciones Yi,gREM está determinado por las remuneraciones brutas totales antes de impuesto en el período de un año (para el período de 12 meses disponible). De esta forma Yi,gREM queda definido como Yi,gREM = Yi,gREM1 + Yi,gREM2 . No obstante, lo anterior, para el solicitante o algún integrante del grupo familiar de 60 o más años de edad si es mujer o 65 o más si es hombre, el IPS deberá considerar la información de los ingresos de los últimos 3 meses calendarios disponibles y anualizarlo multiplicándolo por 4. Para las personas con pensiones de invalidez, el IPS deberá considerar también la información de los ingresos de los últimos 3 meses calendarios disponibles y anualizarlos multiplicándolo por 4.
El IPS deberá determinar Yi,gREM1 e Yi,gREM2.
La variable Yi,g REM1 se calcula para cada relación laboral en base a la remuneración y renta imponible mensual, la que resulte mayor entre aquellas informadas por las AFP, la AFC, las Mutualidades de Empleadores de la Ley N° 16.744 y el Instituto de Seguridad Laboral, para los últimos 12 meses de información disponible. El IPS debe tomar dichos valores, expresarlos en pesos del período base utilizado por el SII, descontarles las leyes sociales respectivas, para luego calcular el valor acumulado anual para el período de 12 meses disponible. Se aplica una regla simplificada para descontar las leyes sociales. Para ello, a los ingresos obtenidos del sistema de AFP, AFC, Mutualidades de Empleadores de la Ley N° 16.744 e Instituto de Seguridad Laboral, se deberá descontar un 20% de la remuneración o renta mensual, considerando para tales efectos el tope máximo imponible vigente para las cotizaciones de AFP.
Para personas pensionadas, si el IPS observa para el solicitante o algún integrante del grupo familiar de 60 años o más si es mujer o 65 o más si es hombre, una relación laboral que se encuentre finiquitada, deberá considerar valor cero para dicha relación laboral.
En caso de existir más de una relación laboral, luego de efectuar lo antes señalado para cada una de ellas, deberá proceder a sumarlas para determinar Yi,g REM1.
Yi,gREM2 se calcula para cada relación laboral en base a la remuneración imponible mensual, que resulte mayor entre la definida en el artículo 5° del D.L. N° 3.501, de 1980, aplicable al antiguo sistema previsional disponible en el IPS, y aquellas informadas por la AFC, las Mutualidades de Empleadores de la Ley N° 16.744 y el Instituto de Seguridad Laboral, para los últimos 12 meses de información. El IPS debe tomar dichos valores, expresarlos en pesos del período base utilizado por el SII, descontarles las leyes sociales respectivas, considerando para tales efectos el tope máximo imponible vigente para las cotizaciones del Sistema Administrado por el IPS, para luego calcular el valor acumulado anual para el período de 12 meses disponible. Se descontará la tasa de cotización correspondiente a la Caja de Previsión donde cotizan y el 7% de salud. Esto se realizará para cada uno de los meses con información, dentro de los últimos doce meses calendario considerados.
Para personas pensionadas, si el IPS observa para el solicitante o algún integrante del grupo familiar de 60 años o más si es mujer o 65 o más si es hombre, una relación laboral que se encuentre finiquitada, deberá considerar valor cero para dicha relación laboral.
En caso de existir más de una relación laboral, luego de efectuar lo antes señalado para cada una de ellas, deberá proceder a sumarlas.
El IPS deberá mensualmente determinar la remuneración y renta imponible de las variables Yi,gREM1 e Yi,gREM2, considerando la que resulte mayor entre las informadas por las AFP, la AFC, las Mutualidades de Empleadores de la
Ley N° 16.744 y el Instituto de Seguridad Laboral.
El componente de pensiones (Yi,gPEN) está determinado por las pensiones brutas totales antes de impuesto en el período de un año. De esta forma Yi,gPEN queda definido como Yi,gPEN = Yi,gPEN1 + Yi,gPEN2 + Yi,gPEN3 + Yi,gPEN4.
Nota de actualización: Este párrafo fue modificado por la Norma de Carácter General N° 108, de fecha 31 de enero de 2014.
El IPS deberá determinar Yi,gPEN1, Yi,gPEN2, Yi,gPEN3 e Yi,gPEN4.
Nota de actualización: Este párrafo fue modificado por la Norma de Carácter General N° 108, de fecha 31 de enero de 2014.
Yi,gPEN1 : Para determinar esta variable el IPS deberá considerar las pensiones de vejez, sobrevivencia e invalidez en retiro programado y en renta vitalicia del Sistema de AFP, las que serán proporcionadas al IPS por las AFP y Compañías de Seguros de acuerdo a lo indicado en el número 2 anterior. Se deberán considerar adicionalmente el beneficio por años cotizados, la compensación por expectativas de vida y el flujo derivado de la cotización con rentabilidad protegida, esto último siempre y cuando el ahorro asociado no haya sido considerado para el financiamiento de la respectiva pensión de vejez o invalidez antes señalada. La información del beneficio por años cotizados y la compensación por expectativas de vida, será aquella disponible en el IPS, mientras que la información del flujo derivado de la cotización con rentabilidad protegida, será aquella que proporcione el Administrador del Fondo Autónomo de Protección Previsional.
Nota de actualización: Este párrafo fue modificado por la Norma de Carácter General N° 335, de fecha 27 de mayo de 2025.
El IPS deberá tomar la pensión mensual informada del último mes disponible, expresarla en pesos del período base utilizado por el SII, descontarle las leyes sociales respectivas, esto es, el 7% del valor de la pensión por concepto de cotización de salud, para luego calcular el valor acumulado anual, lo que se lleva a cabo multiplicando dicho valor por 12. A este valor se le denomina Yi,gPEN1.
Yi,gPEN2: Para determinar esta variable el IPS deberá considerar las pensiones de vejez, invalidez y sobrevivencia del antiguo sistema previsional, las pensiones en carácter de titular o beneficiario correspondientes a las Mutualidades y al ISL, que corresponden a las disponibles en el IPS. El Instituto no deberá considerar aquellos beneficios generados por la Ley N° 21.419, así como por la Ley N° 20.255, es decir, deberá excluir la Pensión Garantizada Universal y las Pensiones Básicas Solidarias (PBS) así como los Aportes Previsionales Solidarios (APS), tanto de vejez como de invalidez, según corresponda.
El valor de la pensión que el IPS deberá considerar es la suma de las pensiones del último mes disponible. El IPS deberá tomar dicha pensión, expresarla en pesos del período base utilizado por el SII, descontarle las leyes sociales respectivas, esto es, el 7% del valor de la pensión por concepto de cotización de salud, para luego calcular el valor acumulado anual, lo que se lleva a cabo multiplicando dicho valor por 12. A este valor se le denomina Yi,gPEN2.
Nota de actualización: Esta variable fue modificada por la Norma de Carácter General N° 335, de fecha 27 de mayo de 2025.
Yi,gPEN3 se calcula en función de las pensiones otorgadas por CAPREDENA y DIPRECA, información que el IPS deberá solicitar directamente a dichas entidades. El valor de la pensión que el IPS deberá considerar es la suma de las pensiones del último mes disponible. El IPS deberá tomar dicha pensión, expresarla en pesos del período base utilizado por el SII, descontarle las leyes sociales respectivas, esto es, el 7% del valor de la pensión por concepto de cotización de salud, para luego calcular el valor acumulado anual, lo que se lleva a cabo multiplicando dicho valor por 12. A este valor se le denomina Yi,gPEN3.
Yi,gPEN4 se calcula en función de las pensiones informadas por la Tesorería General de la República al IPS. El valor de la pensión que el IPS deberá considerar es la suma de las pensiones del último mes disponible. El IPS deberá tomar dicha pensión, expresarla en pesos del período base utilizado por el SII, descontarle cuando corresponda, las leyes sociales respectivas, para luego calcular el valor acumulado anual, lo que se lleva a cabo multiplicando dicho valor por 12. A este valor se le denomina Yi,gPEN4.
Nota de actualización: Este párrafo fue incluido por la Norma de Carácter General N° 108, de fecha 31 de enero de 2014.
De esta forma, los ingresos brutos totales anuales, Yi,gBR, para el individuo i en el grupo familiar g quedan definidos por:
Yi,gBR = Yi,gREM + Yi,gPEN
El IPS deberá obtener el cálculo del total de impuesto a la renta, utilizando la tabla del impuesto global complementario del año tributario que corresponda, considerando como base la variable Yi,gBR.
Luego la desagregación de los distintos componentes del ingreso líquido total (Yi,gSL e Yi,gPL), llevados a promedio mensual, se determinan con las siguientes fórmulas:
Nota de actualización: Este párrafo fue modificado por la Norma de Carácter General N° 108, de fecha 31 de enero de 2014.
Las variables Yi,gSL1 e Yi,gSL2, en el caso de tratarse de una mujer de 60 o más años de edad o de un hombre de 65 o más años de edad, que se encuentren con todas sus relaciones laborales finiquitadas y que estén pensionados, tomarán el valor cero. En caso de mantener alguna relación laboral vigente deberá considerar los ingresos por remuneraciones anualizados de dicha relación.
De esta forma, la variable Yi,gSL, correspondiente al promedio mensual de los salarios líquidos totales, se calcula como:
Yi,gSL = Yi,gSL1 + Yi,gSL2
y la variable Yi,gPL , correspondiente al promedio mensual de las pensiones líquidas totales, se calcula como:
Yi,gPL = Yi,gPL1 + Yi,gPL2 + Yi,gPL3 + Yi,gPL4
Nota de actualización: Este párrafo fue modificado por la Norma de Carácter General N° 108, de fecha 31 de enero de 2014.
Si el IPS recibe información de que el individuo i en el grupo familiar g percibe pensión de CAPREDENA o DIPRECA, pero no logra obtener información sobre el monto específico de la pensión, deberá reemplazar la variable Yi,gPL por la información de ingresos por jubilaciones o pensiones entregada por MDS, la que debe estar expresada como promedio mensual.
Ante ausencia de información en forma conjunta de las variables Yi,gPEN1, Yi,gPEN2, Yi,gPEN3 e Yi,gPEN4 y si el IPS recibe información de que el individuo i en el grupo familiar g no percibe pensión de CAPREDENA o DIPRECA, deberá reemplazar la variable Yi,gPL por un valor igual a cero. Ausencia de información se entenderá cuando la variable respectiva se encuentre vacía o tenga un punto, no así cuando la variable contiene un cero.
Nota de actualización: Este párrafo fue modificado por la Norma de Carácter General N° 108, de fecha 31 de enero de 2014.
Nota de actualización: Este Capítulo fue incorporado por la Norma de Carácter General Nº 5, de fecha 23 de mayo de 2011, pasando los originales IX y X a ser X y XI, respectivamente. Posteriormente, fue modificado por la Norma de Carácter General N° 84, de fecha 7 de junio de 2013.
4. Cálculo del PFP con datos administrativos
El Puntaje de Focalización Previsional deberá calcularse con datos administrativos para pensionados que no tengan aplicado el instrumento de caracterización socioeconómica, con la finalidad de determinar el derecho a la exención de la cotización legal de salud, y el derecho a ajustar la pensión a 3 UF de los pensionados de invalidez que no cumplan los requisitos para acceder al Sistema de Pensiones Solidarias de invalidez.
Nota de actualización: Este párrafo fue modificado por la Norma de Carácter General N° 170, de 26 de febrero de 2016.
El citado cálculo podrá aplicarse siempre que los integrantes del grupo familiar tengan 65 o más años de edad en el caso de los hombres, 60 o más años de edad en el caso de las mujeres y sean personas con edad igual o menor a 15 años.
Nota de actualización: Este párrafo fue reemplazado por la Norma de Carácter General Nº238, de fecha 8 de enero de 2019.
Para el cálculo del PFP con datos administrativos se utilizará la fórmula definida en el número 1 anterior, considerando las especificaciones que a continuación se detallan para cada uno de los componentes de la fórmula de cálculo:
PFPg : Puntaje de Focalización Previsional del grupo familiar g.
CGIi,g : Capacidad generadora de ingresos del individuo i en el grupo familiar g. Deberá ser imputada con valor 0.
pi,g : Ponderador de los ingresos laborales del individuo i en el grupo familiar g. Deberá ser imputado con valor 1.
Yi,g : Ingresos laborales del individuo i en el grupo familiar g. Los ingresos laborales se obtienen con la información del Servicio de lmpuestos Internos y del Sistema de Información de Datos Previsionales.
YPi,g : Ingresos por pensiones y aquellos ingresos provenientes de bienes de capital físicos y financieros; y otros ingresos no considerados en Yi,g del individuo i en el grupo familiar g. Los ingresos por pensiones se obtienen de la información que dispone el IPS a través del Sistema de Información de Datos Previsionales.
INg : Índice de necesidades del grupo familiar g. Para calcular el INg se asumirá que el jefe de familia es el integrante del grupo con mayores ingresos totales (Yi,g + YPi,g). Para efectos del factor de dependencia se considerará la condición de invalidez informada por la AFP para cada beneficiario. Si aquélla corresponde a una invalidez parcial, el factor de dependencia se asumirá con valor 1,8235, asignado al dependiente moderado, y si corresponde a una invalidez total, el factor de dependencia se asumirá con valor 2,3774 asignado al dependiente severo, muy severo o postrado. Si no presenta condición de invalidez, el factor de dependencia se asumirá con valor 1, que corresponde al integrante sano.
ng : Número de integrantes del grupo familiar g.
g : Corresponde al grupo familiar definido en el artículo 4° de la Ley N° 20.255, constituido por los beneficiarios del potencial beneficiario de la rebaja a la cotización legal de salud y los beneficiarios de los pensionados que solicitan ajuste de su pensión a la PBS. Dichos beneficiarios corresponden a los informados por las AFP a través del archivo "Afiliados Vivos" del Anexo V. Concesión de Beneficios, del presente Título.
F : Factor de transformación monótona del instrumento para dejarlo en términos de puntaje.
Cuando la potencial beneficiaria se haya pensionado con anterioridad al 1 de octubre de 2008, el IPS deberá validar su estado civil con la información del Servicio de Registro Civil e ldentificación, procediendo a considerar dentro de su grupo familiar a su cónyuge, cuando corresponda.
Nota de actualización: Este párrafo fue incorporado por la Norma de Carácter General N° 238, de fecha 8 de enero de 2019.
El IPS deberá informar a las entidades pagadoras de pensión la información de los pensionados que sean beneficiarios y potenciales beneficiarios de la exención de la cotización legal de salud en la forma establecida en el Capítulo VII, de la Letra B, del Título XVI, del presente Libro.
El IPS deberá informar a requerimiento de la Administradora, el PFP calculado con datos administrativos respecto de los afiliados que solicitan ajustar el monto de su pensión a la PBS. Dicha información deberá ser remitida a más tardar el último día hábil del mes siguiente al del requerimiento, según lo instruido en la letra f) del número 5 del Capítulo ll de la Letra A del Título I del presente Libro.
Nota de actualización: Este número fue incorporado por la Norma de Carácter General Nº149, de fecha 24 de julio de 2015.
5. Trámite de Oficio
Para los casos de solicitudes de beneficios solidarios de invalidez que se rechacen por no cumplir exclusivamente el requisito de focalización, el IPS deberá reevaluar la solicitud a partir del mes siguiente del rechazo de ésta y durante cada uno de los siguientes 6 meses, y en caso de determinar en una de esas evaluaciones que corresponde el otorgamiento del citado beneficio, deberá tramitar de oficio la respectiva solicitud.
Para estos efectos el IPS deberá considerar que el devengamiento del beneficio será a contar del mes en que el solicitante cumpla con todos los requisitos que le dan derecho al beneficio solidario.
En caso que durante el periodo de reevaluación de la solicitud un interesado requiera nuevamente el beneficio, el IPS deberá ingresar esta última solicitud, dejando sin efecto el proceso de reevaluación que se encuentre en curso. Asimismo, si esta última solicitud es rechazada por no cumplir exclusivamente el requisito de focalización, el IPS deberá proceder según lo señalado en los párrafos precedentes de este número.
El IPS cuando remita al interesado la notificación del rechazo de una solicitud, deberá incluir una leyenda que indique lo antes señalado.





