Libro III, Título X Tablas de Mortalidad, Anexos
Anexo N° 8 Nota técnica construcción tablas CB-H-2014 (hombres), MI-H-2014 (hombres), RV-M-2014 (mujeres), B-M-2014 (mujeres) y MI-M-2014 (mujeres)
I. INTRODUCCIÓN
Según lo dispuesto en los artículos 55 y 65 del D.L. N° 3.500 de 1980 y en el artículo 20 del DFL N°251, de 1931, las tablas de mortalidad para efectos del cálculo de las reservas técnicas de los seguros de Renta Vitalicia, para el cálculo del Capital Necesario de las pensiones de Retiro Programado y de los Aportes Adicionales cubiertos por el seguro de invalidez y sobrevivencia, son fijadas conjuntamente por la Superintendencia de Pensiones (SP) y la Superintendencia de Valores y Seguros (SVS).
Por otra parte, las tablas de mortalidad RV-2009 (hombres y mujeres), B-2006 (hombres y mujeres) y MI-2006 (hombres y mujeres) rigen hasta el 30 de junio de 2016.
En virtud de lo anterior, ambas Superintendencias han desarrollado 5 nuevas tablas de mortalidad, las que reemplazarán a las tablas señaladas en el párrafo precedente a partir del 1 de julio de 2016:
- CB-H-2014 (hombres) para pensionados por vejez y beneficiarios no inválidos de pensión de sobrevivencia.
- MI-H-2014 (hombres) para pensionados por invalidez y beneficiarios inválidos de pensión de sobrevivencia.
- RV-M-2014 (mujeres) para pensionadas por vejez.
- B-M-2014 (mujeres) para beneficiarias no inválidas de pensión de sobrevivencia.
- MI-M-2014 (mujeres) para pensionadas por invalidez y beneficiarias inválidas de pensión de sobrevivencia.
El proceso de construcción de las tablas se dividió en 4 etapas:
a. Obtención y depuración de datos
b. Cálculo de expuestos y determinación tasas brutas de mortalidad
c. Ajuste de tasas brutas de mortalidad y aplicación de test estadísticos
d. Cálculo de los factores de mejoramiento
Para la construcción de las tablas de mortalidad 2014 se contó con el apoyo técnico de la Organización de Cooperación para el Desarrollo Económico (OCDE). Adicionalmente, se estuvo en consulta con el Instituto Nacional de Estadísticas (INE) y con el Centro Latinoamericano y Caribeño de Demografía (CELADE)1 , particularmente durante el análisis de los factores de mejoramiento.
En el presente informe técnico se detalla el trabajo realizado y los principales criterios técnicos que se tuvieron en consideración para la construcción de las tablas 2014.
(1) CELADE es la División de Población de la Comisión Económica para América Latina y el Caribe (CEPAL).
II. OBTENCION Y DEPURACION DE BASE DE DATOS2
La base de datos utilizada3 para la construcción de las tablas se obtuvo de tres fuentes de información que involucran al sistema previsional chileno:
- Base de pólizas de Renta Vitalicia del Sistema D.L. 3.500 de la SVS;
- Base de pensionados del Sistema D.L. 3.500 de la SP;
- Base de pensionados del Instituto de Previsión Social, IPS (ex cajas de previsión)
Adicionalmente, se contó con información de tablas de mortalidad poblacional históricas proporcionadas por el INE.
(2) Para un mayor detalle de los filtros aplicados a la base de datos del sistema previsional, véase el apéndice N°3.
(3) La base de datos se encuentra disponible en el sitio web http://www.svs.cl/institucional/estadisticas/tmc_registro.php.
II.1. Base de pólizas de Renta Vitalicia SVS
a. Conformación de la Base de Datos
Se utilizaron los datos que trimestralmente envían las compañías de seguros y reaseguros, correspondientes al stock de pólizas y siniestros, sea que se encuentren vigentes o hayan dejado de estarlo, conforme a lo establecido en la Circular 1.194 de la SVS.
Los datos recibidos incluyen antecedentes de la póliza de renta vitalicia o del siniestro antes mencionado, de los afiliados causantes de dichas pólizas y de sus beneficiarios.
b. Pólizas incluidas
Se utilizó el stock de datos al 31 de diciembre de 2013. Se incluyeron todas las pólizas de RV inmediata y RV diferida; respecto a estas últimas, tanto aquellas en que se hubiera iniciado el pago de la renta vitalicia, como aquellas en que aún no comenzaran a devengarse las rentas. Además se consideraron los siniestros de invalidez y sobrevivencia ocurridos con anterioridad al 31/12/1987 (Circular 528).
c. Depuración y validación de la base de datos
Se eliminan los registros duplicados e inconsistentes de la base de datos.
Para los casos de datos duplicados, se mantienen los datos de la póliza más antigua.
No se incluyeron en el análisis las pólizas que corresponden a aceptaciones de reaseguro, tanto de las reaseguradoras como las aceptaciones entre aseguradoras.
Asimismo, se excluyeron de la base de trabajo los beneficiarios designados, por tratarse de registros cuya única función dentro de la póliza es asignar la reserva por la pensión no percibida por un rentista fallecido, cuando no existen beneficiarios con derecho a pensión, siendo en muchos casos información que no corresponde a un beneficiario legal.
d. Verificación de datos en el Registro Civil
Con el objeto de tener una mayor certeza respecto de los datos a utilizar en la construcción de las tablas de mortalidad, todos los datos fueron enviados al Servicio de Registro Civil e Identificación para verificar fechas de nacimiento, fallecimiento y sexo de las personas que constituyen esta base.
II.2. Base de pensionados SP
a. Conformación de la base de datos
Se utilizó la información proporcionada mensualmente por las Administradoras de Fondos de Pensiones, de afiliados, beneficiarios, pensionados y fallecidos, conforme a lo establecido en el Compendio de Normas del Sistema de Pensiones, Libro V, Título XI.
Se consideró la información de hombres y mujeres pensionados y sus beneficiarios, con fecha de solicitud de pensión anterior o igual a 31 de diciembre de 2013.
b. Depuración y validación de los datos
Se efectuaron validaciones de consistencia de información entre las distintas tablas y/o archivos de la Base de Datos de afiliados, cotizantes, beneficiarios, pensionados y fallecidos del Compendio de Normas del Sistema de Pensiones. Además se realizaron verificaciones de formatos, contenidos, omisiones, repetidos e inconsistencias.
Filtro de pensión:
No se incluye información de causantes, ni su grupo familiar, cuando la pensión del causante es inferior a la pensión mínima, y la fecha de solicitud es anterior a julio de 2008, ni de todos aquellos causantes cuya pensión es inferior a la Pensión Básica Solidaria y cuya fecha de solicitud es posterior a julio de 2008. Se excluyen de esta eliminación los causantes inválidos y su grupo familiar, y los beneficiarios de sobrevivencias de causantes fallecidos no pensionados, pues algunos de estos pensionados, a pesar de no cumplir con el requisito para optar a renta vitalicia, pueden haber recibido aporte adicional y con esto sí ser usuarios de las tablas de mortalidad.
Filtro bono por hijo:
Se eliminan las mujeres causantes que reciben el bono por hijo y cuya fecha de afiliación es posterior o igual al año 2008, y todos sus beneficiarios.
c. Verificación de datos en el Registro Civil
Con el objeto de validar la información a utilizar, todos los datos fueron enviados al Servicio de Registro Civil e Identificación para verificar fechas de nacimiento, fallecimiento y sexo de las personas que constituyen esta base.
II.3. Base de pensionados del Sistema IPS
a. Conformación de la base de datos
Se utilizó la base de datos proporcionada por el IPS conformada por todos los pensionados y beneficiarios que recibieron alguna pensión entre los años 2006 y 2013 inclusive.
b. Depuración y validación de datos
Se eliminan los registros duplicados e inconsistentes de la base de datos.
Los registros duplicados se generan por la posibilidad de que un causante de pensión sea pensionado de más de una ex-caja, o por el hecho de que en un grupo familiar ambos cónyuges sean pensionados del IPS, en cuyo caso los hijos serían beneficiarios de ambos causantes, duplicándose de esta forma estos beneficiarios.
c. Verificación de fechas de nacimiento y muerte
Sin perjuicio de que el IPS realiza periódicamente un pareo de su información con el Registro Civil, se verificaron los datos relevantes de una muestra aleatoria de la base de datos entregada por el IPS con la base del Registro Civil. El resultado de dicha verificación fue satisfactorio.
II.4. Fusión base de datos SVS-SP-IPS
a. Conformación de la Base de Datos
Se fusionaron las bases de datos provenientes de la SVS, SP e IPS en una sola.
Cabe mencionar que los datos del IPS sólo fueron utilizados para complementar la base de pensionadas y beneficiarias inválidas (mujeres) a partir de los 83 años de edad. Para la construcción del resto de las tablas, el volumen de datos en las bases del sistema de pensiones del D.L. 3.500 es suficiente.
b. Depuración base de datos de personas duplicadas
Debido a que una persona se puede traspasar de retiro programado a renta vitalicia, o afiliarse al Sistema de Pensiones regulado por D.L. 3.500 después de haber obtenido pensión en el sistema de reparto, se depuró completamente la base de repetidos teniendo en cuenta la variable Run.
El número de registros de la base de datos después de filtros es la siguiente4:

(4) Para mayor detalle del número de registros eliminados de cada base de datos, ver el apéndice N°3.
II.5. Tablas proporcionadas por el INE
Las tablas de mortalidad poblacionales proporcionadas por el INE fueron las siguientes:
- Tablas de mortalidad abreviadas quinquenales desde el año 1950 hasta el año 2005 por sexo y tramo de edad (0, 1-4, 5-9, 10-14, ..., 75-79 y 80+).
- Tablas de mortalidad completas anuales desde el año 2002 hasta el año 2012 por sexo y edad (0, 1, 2, ...., 89 y 90+).
Las tablas de mortalidad entregadas por el INE se basan en información censal y estadísticas vitales proporcionadas por el Registro Civil, el Ministerio de Salud y el Departamento de Extranjería del Ministerio del Interior.
III. METODOLOGÍA DE CÁLCULO DE TASAS BRUTAS Y EXPUESTOS
III.1 Nomenclatura y definiciones
En este informe se utiliza la notación actuarial generalmente aceptada.
Cálculo de Expuestos al Riesgo
Primero es necesario calcular la edad asegurada "IA":
IA = Edad_decimal(Fecha exacta bautizo de la póliza; fecha exacta de nacimiento).
La edad decimal se calculó como:
Donde,
F.bautizo: Fecha exacta de bautizo, que corresponde a la fecha de inicio de vigencia de la póliza de renta vitalicia o inicio de pensión por retiro programado.
F.nac: Fecha exacta de nacimiento.
Posteriormente se aproxima la edad asegurada al número entero más cercano (edad actuarial).
Luego se recalcula la fecha de nacimiento (VYB) teniendo en cuenta la nueva edad al inicio de vigencia de la pensión.
VYB = CYI - IA
Donde CYI es el año calendario en que se bautizó la póliza (sin mes ni días).
Una vez obtenidos los valores de IA y VYB se puede calcular el siguiente vector:
vi = [ yi, zi, θi,φi]
Donde,
Año en que comienza la observación: es el máximo entre el año de bautizo de la póliza y el inicio del periodo de observación de 6 años.
Una vez obtenidos esos datos, es posible calcular el número de expuestos y de fallecimientos por año, como se detalla a continuación:
Expuestos a la edad x: El número de todos los individuos que cumplen con estos requisitos:
(yi < x + 1); (zi ≥ x + 1); (θi = 0 o x < θi); (φi = 0 o x < φi)
Los hijos no inválidos deben cumplir además con la siguiente restricción:
(x < 24)
Fallecimientos a la edad x: El subconjunto de expuestos a la edad x que cumplen con:
x < θi ≤ x+1.
III.2. Criterios para el cálculo de expuestos
Para este cálculo se consideró un período de observación de seis años, entre el 1 de enero de 2008 y el 31 de diciembre de 2013, ambos inclusive.
Los datos del IPS se utilizaron sólo para las mujeres inválidas, a partir de los 83 años.
a. Cálculo de expuestos de mujeres causantes:
Los datos de las mujeres causantes del sistema de pensiones bajo el D.L. 3.500 son suficientes hasta los 98 años, por lo que no se utilizaron datos del IPS.
b. Cálculo de expuestos de mujeres beneficiarias:
Los datos de las beneficiarias son suficientes hasta los 97 años, por lo que no se hace necesaria la inclusión de los datos del IPS.
c. Cálculo de expuestos de mujeres inválidas:
En el caso de las mujeres inválidas, los datos de pensionadas del D.L. 3.500 presentan una significativa volatilidad en las edades avanzadas debido al bajo volumen de información. La inclusión de los datos del IPS a partir de 83 años de edad permite contar con tasas brutas de mortalidad más estables.
d. Cálculo de expuestos de hombres causantes y beneficiarios no inválidos:
No existen suficientes datos de beneficiarios para el D.L. 3.500 como tampoco para el IPS por lo que no es posible obtener tasas de mortalidad que sean estadísticamente representativas. Dada la poca cantidad de expuestos se obtiene una gran volatilidad de los estimadores de mortalidad por edad.
En el IPS la información de beneficiarios hombres es inexistente para las edades avanzadas, debido a que sólo los hijos, y no los cónyuges eran beneficiarios del sistema antiguo.
Considerando la escasez de datos de beneficiarios no inválidos y que su mortalidad es similar a la de los causantes hasta los 84 años, se decide combinar la información de beneficiarios no inválidos con la de causantes, para la construcción de una única tabla a utilizar para ambas poblaciones.
El siguiente gráfico presenta las tasas de mortalidad brutas para beneficiarios y causantes del D.L.3.500:
e. Cálculo de expuestos de hombres inválidos:
Los datos de los inválidos son suficientes hasta los 89 años, por lo que no se utilizaron los datos del IPS.
IV. TÉCNICA DE AJUSTE
La técnica seleccionada para suavizar los qx brutos en las edades centrales es el método de ajuste Whittaker Henderson Tipo B (WH).5
Los coeficientes utilizados para el ajuste con WH, en la construcción de las tablas fueron los siguientes:
La diferencia finita es de grado cuatro y fue la función que mejor se ajustó a los datos analizados.
Por otro lado, el coeficiente h se modifica iterativamente hasta obtener una función monótona creciente, con forma similar a la de una función exponencial.
(5) La descripción de esta metodología está en el punto I del Apéndice N°1.
V. TEST ESTADÍSTICOS
Luego de ajustar las tasas brutas de mortalidad se debe verificar que el resultado realmente represente a la población estudiada. Para ello se utilizan test estadísticos6 que indican qué tan fidedigno es el ajuste en comparación con los datos observados.
Resultados de los test:
La tabla de mujeres causantes pasa todos los test, excepto el de Desviaciones Estandarizadas. En este caso, las desviaciones estandarizadas se concentran en torno a cero incluso más de lo que lo harían en una distribución normal (sobre un 95% de las observaciones tienen desviación estandarizada menor a 1 en términos absolutos), por lo que si bien la tabla no pasa este test, el comportamiento de las distribuciones estandarizadas es aceptable. Esta tabla pasa el resto de los test, en particular aquellos que también buscan examinar la normalidad de las desviaciones estandarizadas (Desviaciones absolutas y Signos).
Para el resto de las tablas el ajuste pasa los 7 test. En el Apéndice N°2 de la nota técnica se detalla el resultado de cada test aplicado.
(6) La descripción de los test utilizados está en el punto II del Apéndice N°1.
VI. CONSTRUCCIÓN DE LAS TABLAS
Los datos son representativos sólo para el rango de edades donde hay suficiente volumen de datos de expuestos y fallecidos. Sin embargo, no hay suficientes datos en las edades extremas por lo que es necesario estimar las tasas de mortalidad en estos segmentos.
VI.1 Construcción de colas
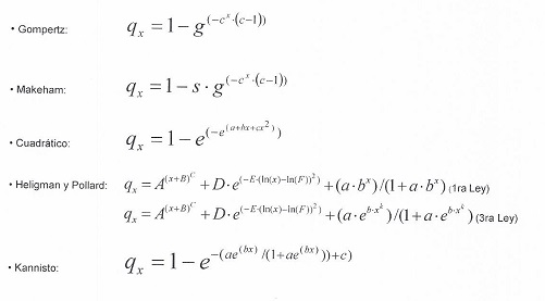
Debido a que no hay suficientes datos para las edades avanzadas, se utilizan modelos de mortalidad paramétricos y luego se extrapolan los resultados en las colas. Los modelos considerados son:
La extrapolación se realizó con el ajuste del qx de las edades centrales, tomando los últimos 10 o 15 años, dependiendo de cuál entregaba mejores resultados. Para decidir qué modelo utilizar, se busca que las tablas de mortalidad de un mismo sexo no se crucen entre sí, que exista cierta consistencia con las tablas de mortalidad anteriores (RV-2009, MI-2006 y B-2006) y finalmente, que tenga el menor error de estimación:
a. Caso mujeres causantes:
En este caso el modelo seleccionado fue Heligman y Pollard (tercera ley), que es el que muestra el menor error entre las curvas que no se cruzan con la tabla de beneficiarias.
b. Caso mujeres beneficiarias:
En este caso se utilizó el modelo de Gompertz ya que resulta ser el único que permite que no se cruce la tabla de beneficiarias con la de mujeres causantes.
c. Caso mujeres inválidas:
En este caso, ambas versiones del modelo de Heligman y Pollard resultan con una pendiente similar a la de las tablas MI-2006. Se utilizó la primera ley debido a que tiene un menor error cuadrático que la tercera ley.
d. Caso hombres causantes y beneficiarios no inválidos:
En este caso se utilizó el modelo Cuadrático, el cual tiene una mortalidad final cercana a la tabla vigente de causantes hombres.
e. Caso hombres inválidos:
En este caso se seleccionó el modelo de Makeham ya que resulta ser el modelo más consistente respecto a la tabla de mortalidad MI-2009 y el cual entrega una tasa de mortalidad que va por sobre la tabla de causantes y beneficiarios no inválidos, evitando así el cruce de ambas tablas.
El cuadro siguiente resume los modelos utilizados para cada tabla, sus parámetros y la cantidad de años de las edades centrales utilizada para ajustarlas:
VI.2. Construcción de edades tempranas
Al no tener datos en las edades tempranas, se utilizan las tablas de mortalidad entregadas por el INE y el ajuste de las edades centrales a través de Whittaker-Henderson.
Para la estimación se utilizaron las tablas completas proporcionadas por el INE para los años 2008 al 2012. En primer lugar, para cada edad, se promedian los qx de cada tabla en este periodo para obtener así el año central 2010 y guardar consistencia con la información del sistema de pensiones usada para la construcción de las edades centrales, en la que se utilizó la misma ventana de tiempo. Se toma el promedio de los qx, y no el qx del año 2010, con el fin de disminuir las variaciones de mortalidad que se pudieran presentar en un año en particular.
Luego, en base a esta tabla de mortalidad y el ajuste de WH de las edades centrales, se siguieron los siguientes pasos para obtener la mortalidad de las edades tempranas:
1. Se calcula el logaritmo natural tanto de las tasas de mortalidad ajustadas para las edades centrales como de las tasas de mortalidad del INE.
2. Se estima una regresión lineal, donde la variable explicativa es el logaritmo de la tasa de mortalidad del INE y la variable dependiente es el logaritmo de la tasa de mortalidad del ajuste de las edades centrales. Se utilizan todas las edades disponibles en ambas fuentes de información.
3. Con los parámetros obtenidos de la regresión lineal (pendiente e intersección con el eje y), se obtienen los valores logarítmicos de las edades tempranas, para finalmente obtener la tasa de mortalidad con la función exponencial.
4. En el caso de los inválidos (hombres y mujeres), se utiliza la diferencia de la mortalidad entre el ajuste de las edades centrales y la mortalidad del INE, en vez del logaritmo de cada una de ellas7. Luego, la regresión se realiza con las diez primeras edades del rango de edades centrales del ajuste de Whittaker-Henderson, donde la diferencia es la variable dependiente y la edad es la variable explicativa.
(7) En el caso de la tabla de invalidez, se consideró que el resultado de aplicar la regresión a los logaritmos de las tasas brutas ampliaba demasiado las variaciones que se producen en las tasas de mortalidad para los niños y jóvenes.
VI.3. Empalmes
Se busca que la transición de las edades tempranas hacia las edades centrales y desde las edades centrales hacia las edades avanzadas, sea lo más suave posible. Para ello, se modifican las tasas de mortalidad de las edades al principio y final de cada tramo de modo tal que gráficamente se observe una mayor suavidad en esta transición. Esta modificación se realiza mediante un promedio ponderado, donde el ponderador dependerá del número de edades a ajustar y a qué curva se le da mayor importancia (a medida que se aleja de las edades tempranas -o avanzadas-, el ponderador va tomando mayor peso para el ajuste obtenido en las edades centrales).
Así por ejemplo,
- Si se ajusta la edad temprana i, el qx modificado corresponderá al promedio entre el qx de la edad central ajustada por Whittaker-Henderson y el qx obtenido a través de la regresión lineal para la misma edad i. En el caso de corresponder a la edad avanzada i, el promedio se obtiene entre el qx ajustado por Whittaker-Henderson y el qx obtenido del modelo paramétrico seleccionado para el ajuste de la cola.
- Si se ajustan las edades tempranas i e i+1, para la edad i se utiliza un peso igual a 2 en el caso del qx de la regresión lineal e igual a 1 en el caso del qx ajustado por Whittaker-Henderson, mientras que para la edad i+1, los pesos se invierten.
Cabe mencionar que no fue necesario empalmar las edades centrales y tardías mediante el promedio ponderado en el caso de las tablas de causantes de hombres y de causantes mujeres debido al buen ajuste de los modelos seleccionados para la extrapolación.
VI.4. Resumen de modelos considerados
El siguiente cuadro resume los modelos utilizados para la construcción de cada una de las tablas de mortalidad 2014:
VII. FACTORES DE MEJORAMIENTO
Los factores de mejoramiento corresponden al porcentaje de disminución anual, o mejoramiento, que se espera que tengan las tasas de mortalidad en el futuro. Estos factores se determinan separadamente para hombres y mujeres y por rango etario. Se calculan sobre la base del mejoramiento histórico observado de las tasas de mortalidad.
VII.1. Datos utilizados y procesamiento8
La estimación de factores de mejoramiento de la mortalidad requiere tanto de series de tiempo del orden de treinta años o más, como de un número suficiente de expuestos y fallecidos en el rango de edades relevantes de forma tal de contar con qx representativos. Sin embargo, el Sistema de Pensiones Chileno no cuenta con series de datos suficientemente largas y densas como para modelar el mejoramiento de las tasas de mortalidad. Por otra parte, la población del Sistema de Pensiones ha cambiado, principalmente por la Reforma Previsional de 2008, que amplió la cobertura del sistema y, en particular, amplió la población usuaria de las tablas de mortalidad9. Debido a lo anterior, se utilizan datos poblacionales proporcionados por el INE para la estimación de los factores de mejoramiento, lo que es coherente con la práctica internacional.
La utilización de datos poblacionales se sustenta además en que el ratio entre las tasas de mortalidad del Sistema de Pensiones y las tasas poblacionales se ha mantenido relativamente estable, lo que indica que los mejoramientos de la mortalidad de la población general y de los participantes del sistema de pensiones son similares.
En los siguientes dos gráficos se puede observar el ratio entre la tasa de mortalidad de pensionados y de la población general, tanto para mujeres como hombres:
Los datos utilizados corresponden a tablas de mortalidad quinquenales (5x5) proporcionadas por el INE, es decir, con tasas abreviadas por rango de edad (para la edad 0, para el rango entre 1 y 4 años y luego para rangos de 5 años entre las edades de 5 y 79) y que abarcan 5 años calendario, para el período comprendido entre los años 1980 y 2005.
Adicionalmente, el INE proporcionó tablas de mortalidad completas individuales (1x1), es decir, tasas para cada edad entre 0 y 90 años y para años calendario individuales, para el período comprendido entre los años 2002 y 2012.
Debido a que el modelo de proyección utilizado requiere que las tasas históricas estén en formato 1x1, las tablas 5x5 proporcionadas por el INE fueron interpoladas para calcular tablas 1x1 entre los años 1982 y 2001. A estas tablas se adicionaron las tablas 1x1 ya disponibles, completando el período 1982-2012. Se utilizaron las edades comprendidas entre los años 0 y 79, pues son para las que se tenían datos para todos los años calendario10.
(8) Estas tablas se encuentran disponibles en el sitio web http://www.svs.cl/institucional/estadisticas/tmc_registro.php.
(9) La reforma de 2008 implica 2 cambios fundamentales:
1) Se baja el requisito de la pensión mínima hacia la pensión básica solidaria (PBS).
2) Se elimina el periodo transitorio en las invalideces totales.
(10) La metodología para la obtención de las tablas 1x1 se encuentra en el punto III del Apéndice N°1.
VII.2. Modelo de proyección
Para incorporar la influencia del tiempo en la mortalidad, se utilizan métodos que consideran un qx,0 inicial que va mejorando a través del tiempo.
El factor de mejoramiento AAx está caracterizado por la ecuación:
Para proyectar la mejora futura de las tasas de mortalidad, se utilizó el modelo dinámico de Lee-Carter11. Dicho modelo fue aplicado a la serie histórica de 30 años (1982-2012) de la mortalidad poblacional a partir de los datos proporcionados por el INE. Se seleccionó una ventana de 30 años, ya que en el caso de los hombres se observa que en los últimos 30 años su mejoramiento ha aumentado, por lo que utilizar una mayor historia implicaría no considerar este cambio de tendencia. En el caso de las mujeres, no se ve un cambio de tendencia similar al de los hombres, por lo que utilizar 30 años o más, no significará una mayor diferencia en la proyección. Estas decisiones coinciden con la recomendación realizada por la OCDE.
Se proyectan 60 años, para así obtener los factores de mejoramiento anuales AAx por edad, calculados según la siguiente fórmula:
Luego, para calcular los factores de mejoramiento por tramo etario se promediaron los factores en tramos de 5 años de edad hasta el tramo 75-79 (el último tramo disponible).
(11) El modelo de Lee-Carter se detalla en el punto IV del Apéndice N°1.
VII.3. Tratamiento de las edades avanzadas
Las tablas de mortalidad poblacionales proporcionadas por el INE tienen información hasta los 79 años de edad, por lo que no se cuenta con información para estimar estos factores para edades avanzadas. Los factores de mejoramiento sobre los ochenta años tienen un efecto significativo e irreversible sobre el valor de los beneficios que recibirán los nuevos pensionados. Por lo anterior, los factores se debieron modelar recurriendo a la evidencia internacional, al juicio experto y a la utilización de algunos supuestos en base a modelos de extrapolación de las tablas para las edades entre los 80 y 110 años.
Una práctica común es utilizar un decrecimiento lineal de los factores de mejoramiento (por ejemplo, Canadá y Estados Unidos utilizaron este enfoque en sus últimas tablas publicadas12). En este contexto, en una primera etapa, se procedió a determinar una disminución lineal de los factores de mejoramiento hasta llegar a cero en la edad final de la tabla de mortalidad, partiendo del factor de mejoramiento obtenido para la edad de 79 años a través del modelo de Lee-Carter.
Posteriormente, en una segunda fase y siguiendo un enfoque similar a lo hecho por los Países Bajos en sus últimas tablas de mortalidad publicadas13, se estudiaron dos modelos paramétricos (Makeham y Kannisto) para extrapolar las tasas de mortalidad en las edades avanzadas para las tablas de mortalidad proyectadas a través del modelo de Lee-Carter.
De esta forma, se obtuvieron dos extrapolaciones de los factores de mejoramiento para las edades posteriores a los 79 años para hombres y mujeres, cuyos resultados son consistentes con la disminución lineal y sugieren mejoramientos positivos hasta edades en el rango entre los 90 y 110 años. En base a este análisis, se procede a proyectar una diminución lineal de los factores de mejoramiento para llegar a cero a los 100 años de edad en ambas tablas de mortalidad. Ésta es una solución intermedia que deja espacio para que en una posterior actualización de las tablas se incorpore nueva evidencia sobre el comportamiento de los factores para edades mayores. De esta forma, los factores de mejoramiento resultantes para las edades avanzadas están dentro del rango de mejores prácticas implementadas por otros países, tanto para hombres como para mujeres (ver gráficos siguientes), tal como lo destacó el equipo técnico de la OCDE que asesoró este trabajo.

Sin embargo, como se observa en los gráficos anteriores, otros países tienen edades límites superiores a las establecidas en las tablas de mortalidad chilenas y factores de mejoramiento positivos para edades por sobre los 100 años. La asistencia técnica de la OCDE sugiere que esta evidencia debe ser considerada en futuras actualizaciones de las tablas de mortalidad.
(12) Escalas de mejoramiento CPM-B-2014 (Canadá) y MP-2014 (Estados Unidos).
(13) Tablas de Proyección AG-2014.
VII.4 Ajuste de los qx del año central al año 2014
Debido a que los qx obtenidos representan el año central (2010) de la ventana de observación (2008-2013) y que se ha definido que el año base de las tablas sea el 2014, es necesario aplicar los factores de mejoramiento de acuerdo a la siguiente fórmula:
APÉNDICE N°1: DETALLES METODOLÓGICOS
I. MÉTODO DE AJUSTE WHITTAKER HENDERSON TIPO B
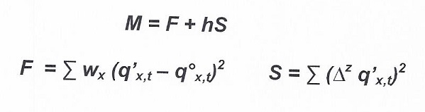
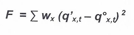
El método de ajuste de Whittaker Henderson Tipo B (WH) consiste en una combinación de regresión lineal y el método Bayesiano de ajuste.
Podemos definir la fórmula de WH de la siguiente manera:
Donde F (fit) es la medida de ajuste mientras que S (smooth) es una medida de suavidad de la curva. El parámetro h le da más o menos intensidad a la suavidad de la curva.
Descripción de F:
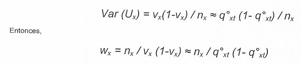
Esta es la parte asociada a la minimización de los residuos cuadrados ponderados por el peso (wx) de la muestra en cada edad, de tal forma que los residuos que tienen una muestra grande deben ser más pequeños para mantener F lo más cerca de cero.
Mientras F tiende a cero el ajuste es mejor.
El ponderador wx toma en cuenta la varianza de la variable aleatoria Ux asumiendo una distribución normal. Ux es una variable aleatoria binomial, pero puede ser aproximada por una variable aleatoria normal siempre que el número de observaciones nx sea lo suficientemente grande.
Sabemos que la varianza es inversamente proporcional al número de observaciones. A mayores observaciones la varianza disminuye.
El ponderador da más importancia al qx bruto cuya varianza es menor (el ponderador va a ser más grande).
Descripción de S:
Para definir la suavidad de la curva generalmente se utilizan las diferencias finitas de diferente orden sobre los valores de qx brutos. Esto se puede representar de la siguiente manera:
S se obtiene de la suma cuadrada de las diferencias finitas. Si por ejemplo z=4 estamos considerando que la secuencia qx se asemeja a un polinomio de grado 3. Debemos recordar que las diferencias finitas se asemejan a una derivada y por lo tanto el orden de diferencia condiciona el grado del polinomio.
Para encontrar los valores de qx ajustados es necesario minimizar M, que es una función con n incógnitas de los valores qx. Entonces los qx que minimizan M corresponden a la solución para las n ecuaciones como resultado de la derivada parcial de M con respecto a qx.
Es posible encontrar este resultado representando el problema en forma matricial.
II. TEST ESTADISTICOS
a. El test de Chi Cuadrado.
Es un test completo que sólo se utiliza como referencia para verificar si las tasas brutas de mortalidad representan a la población. Mide las desviaciones estándar de la estimación respecto de las tasas brutas de mortalidad. Una de las limitaciones de este test es que puede haber grandes desviaciones en ciertas edades y pequeñas en otras, por lo que el resultado final es aceptable según el test. Deseablemente estas desviaciones deben ser constantes para obtener un buen resultado.
b. Test de Desviaciones Estandarizadas.
Este test verifica que la desviación estandarizada de las muertes observadas con respecto a las muertes esperadas tenga una distribución similar a una normal estandarizada, para detectar si hay desviaciones que crecen más allá de lo esperado, o su media se aleja de cero.
c. Test de Desviaciones Absolutas.
Este test refleja que las desviaciones absolutas no sean mayores a un cierto número (generalmente se utiliza que éstas no sean mayores a una unidad de la variable normal, o sea de alrededor de 2/3.)
d. Test de Desviaciones Acumuladas.
Los fallecimientos en las distintas edades deben ser independientes y se deben representar en una variable aleatoria normal. Por esta razón las desviaciones estándar deben ser relativamente homogéneas para todos los tramos. La hipótesis nula a testear es que las desviaciones acumuladas no deben ser mayores al doble de la raíz cuadrada de la varianza de la distribución.
e. Test de Signos.
Considerando que la hipótesis nula es que las desviaciones observadas de las muertes respecto de las muertes esperadas son una variable normal independiente, lo mismo debe ocurrir con los signos encontrándose un número similar de éstos, tanto positivo como negativo.
f. Test de Stevens.
Es similar al test de signos. Estos signos pueden ser todos positivos al principio y luego todos negativos al final del ajuste, por lo que el test de Stevens observa subgrupos de signos a través de la tabla y computa el signo de cada subgrupo. Luego en estos subgrupos deben estar distribuidos de manera similar tanto los signos positivos como negativos.
g. Test de Cambio de Signo.
La probabilidad de cada signo es independiente y está representada en una variable normal, por lo que se puede aplicar una variable binomial donde el signo positivo o negativo tiene la misma probabilidad, ½. Con esto se verifica que los cambios de signo sean homogéneos y no presenten anomalías.
III. OBTENCION TABLAS 1x1
Obtención de tablas 1x5 a partir de tablas 5x5
Para la obtención de tablas completas quinquenales (1x5) se adaptó la metodología utilizada por la Base de Datos de Mortalidad Humana14, cuyo trabajo también ha sido utilizado en estudios de la OCDE. En particular, a partir del número de fallecidos15 incluidos en las tablas de mortalidad 5x5, se calculó la distribución del número acumulado de fallecidos Y(x) y se interpoló esta distribución para las edades dentro de cada intervalo etario:
Combinando las relaciones (1) y (2), se conoce el valor de la función Y(x) para las edades incluidas en la tabla 5x5, es decir, para x = 1, 5, 10, 15, ...,80. Además, se escogió como edad máxima w los 95 años, por lo que Y(w) = Y(95) = 100.000 (población total inicial).
Para estimar la función Y(x) en el resto de las edades, se utilizó una interpolación spline cúbica, de la siguiente forma:
Donde m = 17, k1 = 1, k2 = 5, k3 = 10, ..., k17 = 80.El operador I(.) es 1 si el argumento es verdadero y 0 en caso contrario.
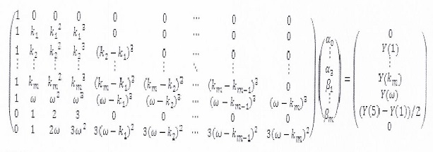
Para estimar los coeficientes αi y βj y se resolvió el siguiente sistema de 21 ecuaciones lineales:
Una vez estimados los coeficientes, se calculó d(x) = Y(x+1) - Y(x) para las edades faltantes. Finalmente, se calculó el número de expuestos y la tasa de mortalidad para todas las edades entre 0 y 79, conformando así las tablas 1x5:
Obtención de tablas 1x1 a partir de tablas 1x5
Las tablas quinquenales del INE cubren el período comprendido entre el 1 de julio del primer año hasta el 30 de junio del sexto año, por lo que el momento central del quinquenio es el 1 de enero del tercer año. Se consideró el tercer año como aproximación del año central, es decir los años 1982, 1987, ..., 2002. La tasa de mortalidad del quinquenio se asignó al año central y se utilizó una variación porcentual constante para calcular la tasa de mortalidad para los cuatro años intermedios entre cada par de años centrales:
(14) La Base de Datos de Mortalidad Humana (Human Mortality Database) fue desarrollada por la Universidad de Berkeley, California y el Instituto de Investigación Demográfica Max Planck (http://www.mortality.org/).
(15) Por convención, se utiliza una población inicial de 100.000 expuestos, lo que determina el valor absoluto del número de fallecidos. Sin embargo, los cálculos son independientes de este valor, pues el valor relevante es la razón entre fallecidos y expuestos.
IV. MODELO DE LEE-CARTER
Los autores Lee y Carter (1992) proponen ajustar a la matriz de ratios de mortalidad la función
o, equivalentemente, la siguiente función a la matriz de los logaritmos
Para estimar los parámetros del modelo, se recurre al método de descomposición del valor singular (SVD) agregando las restricciones de normalizar bxpara que sumen 1 y de que kt sumen 0 de forma tal que la solución sea única. Posteriormente, los valores de kt se ajustan ligeramente para asegurar que el número total de muertes en todas las edades predichas por el modelo en cada año, sea igual al número realmente observado. Finalmente, se debe encontrar un modelo de series de tiempo ARIMA para los valores de los kt. Se obtiene un buen resultado con un modelo "random walk with drift", definido por la siguiente expresión:
APÉNDICE N°2: RESULTADOS TEST ESTADÍSTICOS

APÉNDICE N° 3: FILTROS UTILIZADOS EN LAS BASES DE DATOS
1. LA BASE DE DATOS
Se utilizó las siguientes bases de datos, todas al 31 de diciembre de 2013:
· Base de datos de la SVS: Generada a partir de la información de la Circular N° 1.194, que incluye pólizas de renta vitalicia previsionales (ya sea como venta directa, o de traspaso o cesión de cartera) y siniestros de invalidez y sobrevivencia según la Circular N° 528. La información incluye tanto causantes de pensión como beneficiarios de pensión a pago y potenciales.
· Base de datos de la SP: Generada desde la Base de Datos de Afiliados, Cotizantes, Beneficiarios, Pensionados y Fallecidos proporcionada mensualmente por las Administradoras de Fondos de Pensiones, según lo establecido en el Compendio de Normas del Sistema de Pensiones, Libro V, Título XI, que incluye información de pensionados tanto bajo la modalidad de Retiro Programado como por Renta Vitalicia. La información incluye tanto causantes de pensión como beneficiarios de pensión efectivos y potenciales.
· Base de datos del IPS: Base de datos solicitada por la SP al IPS, que incluye información de los pensionados y beneficiarios a pago del sistema antiguo de pensiones (ex INP). Esta base de datos contiene información de todos los pensionados y beneficiarios que recibieron alguna pensión entre los años 2006 y 2013 inclusive.
Para validar la información sobre sexo, fecha de nacimiento y fecha de fallecimiento, las bases de datos de la SP y la SVS se enviaron a parear al Servicio de Registro Civil e Identificación (SRCEI) a través de las Compañías de Seguros de Vida y Administradoras de Fondos de Pensiones responsables de la información (Oford N° 7650 del 23/04/2014 de la SP y Oford N° 10801 del 24/04/2014 de la SVS). En el caso del IPS, éste mantiene su información actualizada con los datos del SRCEI.
2. CRITERIOS UTILIZADOS EN LA GENERACIÓN DE LAS BASES DE DATOS DE PENSIONADOS DE LA SP, LA SVS E IPS
2.1. Definiciones previas
A continuación se definen algunos de los términos que se utilizarán a lo largo de este anexo:
· Sobrevivencia pura: Se refiere a las pensiones generadas producto del fallecimiento del afiliado antes de haberse pensionado y que generó pensión de sobrevivencia.
· Causante: Se refiere a un pensionado(a) por vejez o invalidez, que puede o no tener beneficiarios legales de pensión de sobrevivencia. Se incluye también afiliados(as) que fallecieron antes de haberse pensionado y que genera pensión de sobrevivencia pura.
· Beneficiario efectivo: Se refiere a un beneficiario legal de pensión de sobrevivencia, que recibe o ha recibido pagos por esta pensión, pues el causante de la pensión ha fallecido. No se considera los beneficiarios designados de renta vitalicia.
· Beneficiario potencial: Se refiere a un beneficiario legal de pensión de sobrevivencia, que no ha recibido pagos por esta pensión, pues el pensionado causante no ha fallecido. No se consideran los beneficiarios designados de renta vitalicia.
· Fecha de pensión: Se refiere indistintamente a la fecha de pensión del IPS o a la fecha de solicitud de pensión suscrita en la AFP o a la fecha de inicio de vigencia de la póliza de RV.
· Inválidos: Pensionados por invalidez o beneficiarios inválidos. No se consideran los beneficiarios designados de renta vitalicia.
2.2. Consideraciones iniciales
· Modalidad de pensión: Se clasifica como Renta Vitalicia (RV) a todos los registros que provengan de las base de datos de la SVS. El resto de los casos son clasificados como Retiro Programado (RP). Puede existir beneficiarios clasificados como RV y otros como RP dentro de un mismo grupo familiar, debido a que alguno de los beneficiarios puede haber dejado de serlo (por ejemplo, hijos que se casan o cumplen 24 años) o fallecido antes de la compra de la póliza de RV.
· Composición de las tablas RV, B, MI, CB: A continuación se describe la población utilizada para el cálculo de cada tabla de mortalidad 2014:
♦ RV: Contiene información de causantes de pensión no inválidas (mujeres), de las bases de datos de la SP y SVS.
♦ B: Contiene información de beneficiarias de pensión de sobrevivencia no inválidas (mujeres), tanto potenciales como efectivos, de las bases de datos de la SP y SVS.
♦ CB: Contiene información de causantes y beneficiarios no inválidos (hombres), de las bases de datos de la SP y SVS.
♦ MI: Contiene información tanto de causantes como beneficiarios inválidos, de las bases de datos de la SP, la SVS. En el caso de las mujeres, se utiliza también información del IPS a partir de los 83 años de edad.
· Edad: Para la aplicación de los filtros, se utilizan las siguientes definiciones de edad:
Sea, fnac la fecha de nacimiento y feval la fecha de cálculo de la edad:
Edad_decimal = (año(eval)-año(feval)) + (mes(eval)-mes(feval))/12 + (año(eval)-año(feval))/(365,25)
Edad_entera = Redondear(Edad_decimal,0).
3. FILTROS DE CONTENIDO Y LIMPIEZA DE DATOS
3.1. Filtros exclusivos para la base de datos de la SP:
· Filtro de pensión: Se elimina los causantes (y sus beneficiarios) que no pueden seleccionar modalidad de pensión pues su pensión es inferior a la requerida. Si la fecha de solicitud de pensión es anterior a julio de 2008, la pensión requerida es el valor de la "Pensión mínima para afiliados hombres y mujeres menores de 70 años". Si la fecha de solicitud de pensión es posterior a julio de 2008, la pensión requerida es el valor de la Pensión Básica Solidaria.
Se excluyen del filtro (no se eliminan):
♦ Causantes inválidos y sus beneficiarios.
♦ Beneficiarios de sobrevivencias puras.
♦ Causantes que hayan jubilado anticipadamente y sus beneficiarios.
♦ Causantes que hayan entrado a SCOMP y sus beneficiarios.
♦ Causantes pensionados en RV y sus beneficiarios.
Las dos primeras excepciones se deben a que en esos casos se utilizan las tablas de mortalidad para el cálculo del aporte adicional, mientras que las tres últimas se deben a que en esos casos necesariamente se cumplen los requisitos para seleccionar modalidad de pensión.
· Filtro bono por hijo: Se elimina las causantes mujeres que reciben el bono por hijo y cuya fecha de afiliación es posterior o igual al año 2008, y todos sus beneficiarios.
Se excluyen del filtro (no se eliminan):
♦ Causantes que hayan jubilado anticipadamente y sus beneficiarios.
♦ Causantes que hayan entrado a SCOMP y sus beneficiarios.
♦ Causantes pensionados en RV y sus beneficiarios.
Las excepciones se deben a que en esos casos necesariamente se cumplen los requisitos para seleccionar modalidad de pensión.
· Filtro modalidad de pensión: Se elimina los registros correspondientes a RV, según la clasificación explicada en las consideraciones iniciales (modalidad de pensión).
3.2. Filtros exclusivos para la base de datos del IPS:
· Filtro error fecha de pensión: Se elimina los casos cuya fecha de pensión es 30/06/2009, por tratarse de una fecha que el IPS utilizó cuando no contaba con el dato.
3.3. Filtros de inconsistencia de datos:
· Filtro SRCEI: Se aplica los siguientes filtros asociados al pareo con el Servicio de Registro Civil e Identificación (SRCEI). Estos filtros no se aplican a la base de datos del IPS que ya viene validada:
♦ Filtro sin dato del SRCEI: Se elimina los registros que no pudieron ser pareados con el Registro Civil. (Sólo se aplica a la base de datos de la SP)
♦ Filtro pareo SRCEI: Las compañías de seguro de vida enviaron los resultados del pareo para cada registro de la Circular 1194, exceptuando las aceptaciones de reaseguro. Luego, se elimina los registros donde el flag16 del resultado del pareo son distinto a 1, 2, 3 o 4. Además, en los casos donde el flag es válido (1,2,3,4), se reemplazan los datos de sexo, fecha de nacimiento y fecha de fallecimiento de la base de datos, con la información del SRCEI, ya que se considera ésta como la información oficial. (Sólo se aplica a la BD de la SVS)
♦ Filtro inconsistencia fechas de nacimiento original versus dato SRCEI: Se elimina aquellos RUN de beneficiarios que no están recibiendo pensión, debido a que probablemente fueron mal informados como beneficiarios. Para ello, se elimina los registros de beneficiarios potenciales donde la fecha de nacimiento original difiere de la fecha de nacimiento del SRCEI en al menos 3 dígitos. Se exceptúan de este filtro a los beneficiarios fallecidos, donde coinciden los datos originales con los resultados del pareo tanto en la fecha de fallecimiento como en el sexo.
· Filtro RUN no válido: Se elimina los registros donde el RUN del causante o del beneficiario es igual a 0 o 1. En el caso del IPS, no hay información del causante relacionado al beneficiario, por lo que la primera condición no aplica. (Sólo se aplica a la BD de la SP y SVS)
· Filtro error sexo: Se elimina los registros cuyo sexo es distinto de "F" y "M".
· Filtro sin fecha de pensión: Se elimina los registros sin fecha de inicio de pensión, eliminando los registros del causante y sus beneficiarios.
· Filtros error fecha de pensión:
♦ Para la base de datos de la SVS y la SP: Se elimina los registros con fecha de inicio de pensión anterior al 01/01/1981, eliminando los registros del causante y sus beneficiarios.
♦ Para la base de datos del IPS: Se elimina los registros cuya fecha de inicio de pensión es menor a 01/01/1900.
· Filtro sin fecha de nacimiento: Se elimina los registros sin fecha de nacimiento.
· Filtro error fecha de nacimiento: Se elimina los registros donde la edad (entera) a la fecha de inicio de la pensión es mayor a 120 años y aquellos nacidos después del 31/12/2013.
· Filtro error fecha de nacimiento o fecha de fallecimiento: Se elimina los registros cuya fecha de nacimiento es posterior a la fecha de fallecimiento, en caso de encontrarse fallecido el individuo.
· Filtro error fecha de nacimiento o fecha de pensión: Se elimina los registros de causantes cuya fecha de nacimiento es posterior a la fecha de inicio de pensión. (Sólo se aplica a las bases de datos de la SP y el IPS)
· Filtro inconsistencia fecha de pensión y fecha de fallecimiento:
♦ Para las bases de datos de la SP e IPS: Se elimina los registros de los fallecidos cuya fecha de inicio de pensión es posterior a la fecha de fallecimiento. Se excluyen los casos de causantes de sobrevivencia pura en la base de datos de la SP.
♦ Para la base de datos de la SVS: Se elimina los registros de los fallecidos, donde el año-mes de fallecimiento es anterior al año-mes de la fecha de inicio de vigencia de la póliza. Se excluye los casos de causantes de sobrevivencia pura.
· Filtro fechas de nacimiento y fallecimiento no válidas: Se elimina los registros cuya fecha de nacimiento o fecha de fallecimiento no es válida.
· Filtro sin parentesco: Se elimina los beneficiarios con código de parentesco nulo. (Sólo se aplica a las bases de datos de la SP y la SVS)
· Filtro fecha de pensión no válida: Se elimina los causantes cuya fecha de pensión no es válida17 y todos sus beneficiarios.
· Filtro fecha de corte:
♦ Fecha de pensión posterior: Se elimina los registros cuya fecha de pensión es posterior al 31/12/2013.
♦ Filtro fecha de nacimiento posterior: Se elimina los registros cuya fecha de nacimiento es posterior al 31/12/2013.
· Filtro mismo RUN beneficiario y causante: Se elimina los beneficiarios donde el RUN del beneficiario es igual al del causante. (Sólo se aplica a las bases de datos de la SP y la SVS)
· Filtro sobrevivencia pura: Se elimina los causantes fallecidos que no recibieron pensión de vejez o invalidez, pero que si generaron pensión de sobrevivencia. (Sólo se aplica a las bases de datos de la SP y la SVS)
· Filtro aceptaciones de reaseguro: Se elimina las aceptaciones de reaseguro por ser un registro que duplica al registro de la compañía cedente. (Sólo se aplica a la base de datos de la SVS)
· Filtro tipo de pensión inconsistente: Se elimina los registros de los causantes para los que el tipo de pensión es "invalidez total o parcial" y la situación de invalidez es "no inválido", debido a que no es posible inferir la real situación de invalidez del pensionado. (Sólo se aplica a las bases de datos de la SVS y la SP.)
· Filtro inconsistencia sexo del padre o madre de causante: Se elimina los registros de padre de causante con sexo femenino y de madre de causante con sexo masculino. (Sólo se aplica a las bases de datos de la SP y la SVS)
· Filtros de inconsistencia con el grupo familiar
♦ Filtro inconsistencia sexo entre cónyuges: Se elimina los registros de cónyuges o madre/padre de hijo de filiación no matrimonial que tengan el mismo sexo que el causante.
♦ Filtro inconsistencia edad cónyuge: Se elimina los registros de cónyuges que tengan menos de 16 años de edad decimal a la fecha de fallecimiento del causante.
♦ Filtro inconsistencia edad madre/padre de hijo de filiación no matrimonial: Se elimina los registros de madres/padres de hijo de filiación no matrimonial, que tengan menos de 12 años de edad decimal a la fecha de fallecimiento del causante.
♦ Filtro inconsistencia entre edad causante e hijo beneficiario: Se elimina los registros de beneficiarios en que la edad decimal del causante sea menor a 12 años a la fecha de nacimiento del hijo beneficiario.
♦ Filtro inconsistencia entre edad de madre/padre del causante y causante: Se elimina los registros de padres o madres de causantes, en que la edad decimal de padre o madre del causante sea inferior a 12 años a la fecha de nacimiento del causante.
(16) El SRCEI en conjunto con los resultados del pareo entrega un flag para cada registro, según la siguiente codificación: 1 "Apellidos y nombres coinciden 100%", 2 "Apellidos coinciden 100% y nombres coinciden ≥60%", 3 "Apellidos coinciden 100% y nombres coinciden ≤60%", 4 "Búsqueda por nombre: los apellidos y nombres coinciden en un 100%, coincidiendo también la fecha de nacimiento, 5 "No existe el registro" y 6 "Formato inválido en registro de entrada".
(17) Definición de fecha no válida (FNV): Se considera que una fecha es no válida cuando no corresponde a una fecha. Para ello, se verifica lo siguiente:
a) Año no puede ser menor a 1861,
b) Mes debe estar dentro de los valores [01; 02; ...; 12],
c) El día debe estar dentro de los valores permitidos para cada mes, ejemplo abril días <= 30
4. TRATAMIENTO DE DUPLICADOS EN CADA BASE
Cada individuo debe exponer una sola vez dentro de un misma tabla (según lo definido en la segunda viñeta del punto 2.2 "Consideraciones iniciales" de este apéndice). Dos registros con el mismo RUN se consideran duplicados.
Se implementa los siguientes criterios o filtros de forma posterior a la eliminación de registros por inconsistencia de datos y se aplican secuencialmente.
· Filtro duplicados con error: Corresponde a duplicados con diferencias en sexo o fecha de nacimiento o fecha de fallecimiento. La búsqueda de duplicados con error se realiza independiente de la tabla de mortalidad a la que pertenece el individuo. Este filtro considera registros filtrados previamente (a excepción de filtros SRCEI). Se elimina ambos registros.
· Filtro duplicados beneficiarios potenciales base SP: Se elimina los beneficiarios potenciales si ya existe un registro como beneficiario efectivo para un mismo grupo familiar, por tener este último registro información más actualizada. (Sólo se aplica a la base de datos de la SP)
· Filtro más de dos causantes: Se eliminan todos los registros de beneficiarios que aparecen asociados a más de 2 causantes, debido a la imposibilidad de identificar al causante del que efectivamente es beneficiario (Sólo se aplica a la base de datos de la SP, SVS aplica filtro de flags).
· Filtro duplicados: Se eliminan los registros duplicados para un mismo grupo familiar. Para ello, se deja el registro con fecha de inicio de vigencia más antiguo.
· Filtro inconsistencia situación invalidez, causante-beneficiario-inválidos: En caso de encontrarse un mismo RUN en las tres tablas (causante, beneficiario no inválidos e inválidos), se elimina todos los registros, a excepción del causante inválido si corresponde a la primera pensión. (Sólo se aplica a las bases de datos de la SP y la SVS)
· Filtro inconsistencia situación invalidez misma fecha vigencia: Se elimina los registros de beneficiarios duplicados con una misma fecha de inicio de pensión y distinta situación de invalidez. En el caso que los registros duplicados correspondan a un causante con una misma fecha de inicio de pensión y distinta situación de invalidez, se elimina el registro de causante no inválido. (Sólo se aplica a las bases de datos de la SP y la SVS)
· Filtro inconsistencia en situación de invalidez del causante: Este filtro considera dos situaciones:
♦ Se elimina los registros duplicados donde la primera pensión corresponde a un causante no inválido y la segunda a un causante o beneficiario inválido. Esto porque un causante que ya se pensionó como no inválido, no podrá pensionarse por invalidez posteriormente.
♦ Se elimina el registro de una segunda pensión de beneficiario o causante no inválido, si existe una primera pensión de causante inválido.
(Sólo se aplica a la BD de la SP y la SVS)
· Filtro inconsistencia en situación de invalidez del beneficiario: Este filtro considera dos situaciones:
♦ En el caso que un beneficiario no inválido tenga una segunda pensión de beneficiario o causante inválido, expondrá como beneficiario no inválido hasta la fecha de inicio de la segunda pensión. Esto debido a que se considera que es factible que alguien que no era causante se haya invalidado con posterioridad a la primera pensión.
♦ En el caso que un beneficiario inválido tenga una segunda pensión de beneficiario o causante no inválido, se elimina ambos registros. Esto porque se considera que un inválido no cambiará su situación de invalidez una vez que fue calificado como tal.
(Sólo se aplica a las bases de datos de la SP y la SVS)
5. CRITERIOS PARA LA CONSOLIDACIÓN DE LAS BASES DE DATOS
Una vez depurada cada base de datos individual, se procede a la consolidación de éstas.
Antes de realizar la consolidación de la base de datos se identifica la menor fecha de pensión (válida) para los cambios de modalidad de pensión (de RP a RV) y se asigna dicha fecha de pensión a la Renta Vitalicia.
Los filtros aplicados a las bases consolidadas son los siguientes:
· Filtro inconsistencia edad de pensión: Se elimina los registros de los causantes cuya fecha de nacimiento original es distinta de la informada por el SRCEI y cuya edad entera a la fecha de su primera pensión (la menor fecha de pensión considerando las tres bases de datos) sea:
♦ Menor a 35 años o mayor a 85 años, para causantes no inválidos
♦ Menor a 18 años o mayor a 70 años, para causantes inválidos.
Este filtro tiene el objetivo de revisar los casos a nivel de base consolidada, con el fin de detectar errores en la asignación de RUN del causante, por lo que se realiza para todos los casos donde hubo cambio de fecha de nacimiento después del pareo con el SRCEI.
· Duplicados con error: Se elimina los registros con diferencias entre la base de la SP, SVS y/o IPS, en los campos de sexo, fecha de nacimiento o fecha de fallecimiento.
· Filtro duplicados, inicio de exposición consolidación: Se elimina los individuos de la base de la SP si es que también son parte de la base de la SVS y se actualiza la fecha de pensión como la mínima fecha entre ambas bases de datos.
En el caso de los datos del IPS, sólo ingresarán a la base consolidada los registros asociados a RUN que no se encuentren en la base fusionada de la SP y la SVS, para cada tabla. Los datos del IPS sólo son utilizados para complementar información en aquellas edades en las que no existe información, por lo que sólo se ingresan registros nuevos, sin complementar exposición de pensionados ya existentes en el nuevo sistema.
· Filtro inconsistencia en situación de invalidez del causante:
♦ Se elimina los registros duplicados en que la primera pensión corresponde a un causante no inválido y la segunda a un causante o beneficiario inválido. En el caso que las fechas de inicio de pensión son iguales, se eliminan los 2 registros.
♦ Se elimina el registro de una segunda pensión de beneficiario o causante no inválido, si existe una primera pensión de causante inválido. En el caso que las fechas de inicio de pensión son iguales, se eliminan los 2 registros.
· Filtro inconsistencia en situación de invalidez del beneficiario:
♦ En el caso que un beneficiario no inválido tenga una segunda pensión de beneficiario o causante inválido, expondrá como beneficiario no inválido hasta la fecha de inicio de la segunda pensión. En el caso que las fechas de inicio de pensión son iguales, se eliminan los 2 registros.
♦ En el caso que un beneficiario inválido tenga una segunda pensión de beneficiario o causante no inválido, se eliminan ambos registros. En el caso que las fechas de inicio de vigencia son iguales, se eliminan los 2 registros.
6. NÚMERO DE REGISTROS RESULTANTES
A continuación se muestra el número de registros resultantes de la depuración de cada base de datos por separado y luego, de la consolidación. Notar que los datos de causantes y beneficiarios no inválidos hombres se juntan después de la consolidación de las bases de datos. Asimismo, los datos del IPS para mujeres inválidas se juntan con el resto de los registros provenientes de la SP y SVS luego de la consolidación de las bases de datos.
6.1. Base de datos de la SVS
(18) Corresponde a beneficiarios designados o causantes de sobrevivencia pura.
6.2. Base de datos de la SP

6.3. Base de datos del IPS

6.4. Consolidación
Antes de la consolidación, se tiene la siguiente cantidad de registros:
Antes de la consolidación, por fuente de datos:
Antes de la consolidación, por tipo de beneficiario:
Finalmente, después de aplicar los filtros de consolidación, juntar las tablas de causantes y beneficiarios no inválidos para los hombres y descartar los registros del IPS a excepción de las mujeres inválidas, la base de datos consolidada se compone de los siguientes registros:
Después de la consolidación, por tipo de beneficiario:





































