Libro III, Título IX Proyección de Pensión Personalizada del Afiliado
Capítulo III. Metodología de cálculo
Materias asociadas: Afiliado / Proyección
A continuación se presentan las definiciones y fórmulas necesarias para realizar el cálculo de la Proyección de Pensión Personalizada de acuerdo a los escenarios detallados anteriormente.
1. Cálculo del Saldo Proyectado
El cálculo del saldo proyectado deberá efectuarse en conformidad con las definiciones y fórmulas establecidas en los numerales siguientes.
a) Para el grupo de afiliados a quienes les faltan 10 años o más para cumplir la edad legal de pensión, se presentarán los dos escenarios siguientes de Proyección de Pensión Personalizada (PPP): escenarios A y B.
i. Escenario A
En este escenario se considera que el afiliado deja de cotizar a la fecha de cierre de la cartola y se pensiona a la edad legal. Para el cálculo de su saldo al momento de pensionarse es necesario considerar la proyección del saldo en la cuenta de capitalización individual de cotizaciones obligatorias, el saldo en la cuenta de capitalización individual de afiliado voluntario, el saldo en la cuenta de capitalización individual de cotizaciones voluntarias, el saldo en la cuenta de capitalización individual de depósitos convenidos, el saldo en la cuenta individual de ahorro previsional voluntario colectivo y el bono de reconocimiento, cuando corresponda.
1. Para la proyección del saldo en la cuenta de capitalización individual de cotizaciones obligatorias y en la cuenta de capitalización individual de afiliado voluntario se utilizan las siguientes fórmulas:
1.1 Para afiliados que seleccionaron un Fondo de Pensiones
1.1.1 Si el Fondo seleccionado es distinto al Fondo A:
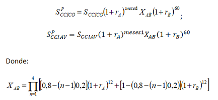
1.1.2 Si el Fondo seleccionado es el fondo A se aplica restricción legal de acceso a dicho Fondo a partir de los 56 años en el caso de los hombres, y los 51 años en el caso de las mujeres:
1.2 Para afiliados que han sido asignados a un Fondo según su edad
1.2.1 Si edad del afiliado al cierre de la cartola cuatrimestral es menor o igual a 35 años:
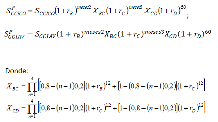
1.2.2 Si edad del afiliado al cierre de la cartola cuatrimestral es mayor o igual a 36 y menor a 40 años:
Donde XBC y XCD están determinados por::
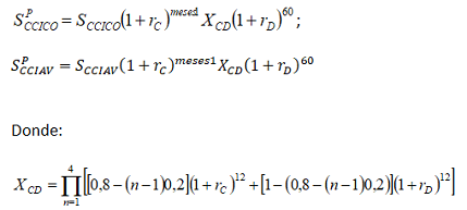
1.2.3 Si edad del afiliado al cierre de la cartola cuatrimestral se ubica entre los 40 y 50 años para las mujeres y 40 y 55 años para los hombres:
2. Para la proyección del saldo en las cuentas de capitalización individual de cotizaciones voluntarias, de capitalización individual de depósitos convenidos y en la cuenta individual de Ahorro Previsional Voluntario Colectivo, se utiliza la siguiente fórmula:
Finalmente, utilizando lo señalado en los puntos 1 y 2, el Saldo Total Proyectado al momento de pensionarse está determinado por:
Donde:
SCCICO = Saldo en pesos de la Cuenta de Capitalización Individual de Cotizaciones Obligatorias (CCICO), a la fecha de cierre de la cartola.
SCCIAV = Saldo en pesos de la Cuenta de Capitalización Individual de Afiliado Voluntario (CCIAV), a la fecha de cierre de la cartola.
SCCICV = Saldo en pesos de la Cuenta de Capitalización Individual de Cotizaciones Voluntarias (CCICV), a la fecha de cierre de la cartola.
SCCIDC = Saldo en pesos de la Cuenta de Capitalización Individual de Depósitos Convenidos (CCIDC), a la fecha de cierre de la cartola.
SCAPVC = Saldo en pesos de la Cuenta Individual de Ahorro Previsional Voluntario Colectivo (CAPVC), a la fecha de cierre de la cartola. Incluye aportes del trabajador y aportes del empleador de propiedad del trabajador.
SPCCICO = Saldo proyectado de la Cuenta de Capitalización Individual de Cotizaciones Obligatorias (CCICO) al momento de pensionarse.
SPCCIAV = Saldo proyectado de la Cuenta de Capitalización Individual de Afiliado Voluntario (CCIAV) al momento de pensionarse.
meses = Número de meses que le faltan al afiliado, desde la fecha de cierre de la cartola, para cumplir la edad legal para pensionarse.
meses1 = Número de meses que le faltan al afiliado, desde la fecha de cierre de la cartola, para cumplir los 56 años de edad si es hombre y los 51 años de edad si es mujer.
meses2 = Número de meses que le faltan al afiliado, desde la fecha de cierre de la cartola, para cumplir los 36 años de edad.
meses3 = 192 meses si el afiliado es hombre. 132 meses si el afiliado es mujer.
m1 = Número de meses que le faltan al afiliado desde la fecha de cierre de la cartola hasta cumplir los 37, 38, 39 o 40 años, según corresponda.
rS = Tasa de rentabilidad real mensual proyectada del fondo seleccionado (A, B, C, D o E) para la cuenta respectiva o el de menor riesgo, según corresponda.
rA = Tasa de rentabilidad real mensual proyectada para el Fondo A.
rB = Tasa de rentabilidad real mensual proyectada para el Fondo B.
rC = Tasa de rentabilidad real mensual proyectada para el Fondo C.
rD = Tasa de rentabilidad real mensual proyectada para el Fondo D.
rE = Tasa de rentabilidad real mensual proyectada para el Fondo E.
BR = Valor actualizado en pesos del Bono de Reconocimiento, a la fecha de cierre de la cartola.
rBR = Tasa de reajuste mensual del Bono de Reconocimiento: 0,003273739782 (corresponde a un 4% real anual).
Para los afiliados que hayan seleccionado dos tipos de Fondos, se deberán aplicar las mismas fórmulas para la proporción de saldo destinado a cada tipo de Fondo definidas en el punto 1.1 y posteriormente considerarlas en la sumatoria del Saldo Total proyectado al momento de pensionarse.
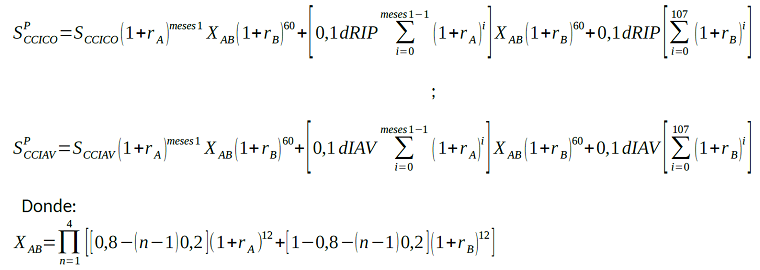
ii. Escenario B
En este escenario se considera que el afiliado cotiza todos los meses para su cuenta de capitalización individual de cotizaciones obligatorias o cuenta de capitalización individual de afiliado voluntario y, cuando corresponda, para la cuenta de capitalización individual de cotizaciones voluntarias y para la cuenta de capitalización individual de ahorro voluntario colectivo, hasta cumplir la edad legal, pensionándose en ese momento. Para el cálculo de su saldo al momento de pensionarse es necesario considerar la proyección del saldo en la cuenta de capitalización individual de cotizaciones obligatorias, el saldo en la cuenta de capitalización individual de afiliado voluntario, el saldo en la cuenta de capitalización individual de cotizaciones voluntarias, el saldo en la cuenta individual de ahorro previsional voluntario colectivo, el saldo en la cuenta de capitalización individual de depósitos convenidos y el bono de reconocimiento, cuando corresponda. Para las cotizaciones obligatorias, las cotizaciones de afiliados voluntarios, las cotizaciones voluntarias y los aportes de ahorro previsional voluntario colectivo se considerarán tanto los saldos que el afiliado tenga al momento del cálculo como la proyección de las futuras cotizaciones. Por su parte, se considera el saldo acumulado en la cuenta de capitalización individual de depósitos convenidos al cierre de cartola.
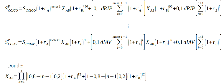
1. Para la proyección del saldo en la cuenta de capitalización individual de cotizaciones obligatorias o en la cuenta de capitalización individual de afiliado voluntario, se utilizarán las siguientes fórmulas:
1.1 Para afiliados que seleccionaron un Fondo de Pensiones
1.1.1 Si el Fondo seleccionado es distinto al Fondo A:
1.1.2 Si el Fondo seleccionado es el Fondo A se aplica restricción legal de acceso a dicho Fondo a partir de los 56 años en el caso de los hombres, y los 51 años en el caso de las mujeres:
1.2 Para afiliados que han sido asignados a un Fondo según su edad
1.2.1 Si edad del afiliado al cierre de la cartola cuatrimestral es menor o igual a 35 años:
1.2.2 Si edad del afiliado al cierre de la cartola cuatrimestral es mayor o igual a 36 y menor a 40 años:
1.2.3 Si edad del afiliado al cierre de la cartola se ubica entre los 40 y 50 años para las mujeres y 40 y 55 años para los hombres:
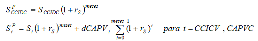
2. Para la proyección del saldo en las cuentas de capitalización individual de cotizaciones voluntarias, de capitalización individual de depósitos convenidos y en la cuenta individual Ahorro Previsional Voluntario Colectivo, se utiliza la siguiente fórmula:
Finalmente, utilizando lo señalado en los puntos 1 y 2, el Saldo Total proyectado al momento de pensionarse está determinado por:
Donde:
SCCICO = Saldo en pesos de la Cuenta de Capitalización Individual de Cotizaciones Obligatorias (CCICO), a la fecha de cierre de la cartola.
SCCIAV = Saldo en pesos de la Cuenta de Capitalización Individual de de Afiliado Voluntario (CCIAV), a la fecha de cierre de la cartola.
SCCIDC = Saldo en pesos de la Cuenta de Capitalización Individual de Depósitos Convenidos (CCIDC), a la fecha de cierre de la cartola.
SCCICV = Saldo en pesos de la Cuenta de Capitalización Individual de Cotizaciones Voluntarias (CCICV), a la fecha de cierre de la cartola.
SCAPVC = Saldo en pesos de la Cuenta Individual de Ahorro Previsional Voluntario Colectivo (CAPVC), a la fecha de cierre de la cartola. Incluye aportes del trabajador y aportes del empleador de propiedad del trabajador.
SPCCICO = Saldo proyectado de la Cuenta de Capitalización Individual de Cotizaciones Obligatorias (CCICO) al momento de pensionarse.
SPCCIAV = Saldo proyectado de la Cuenta de Capitalización Individual de Afiliado Voluntario (CCIAV) al momento de pensionarse.
meses = Número de meses que le faltan al afiliado, desde la fecha de cierre de la cartola, para cumplir la edad legal para pensionarse.
meses1= Número de meses que le faltan al afiliado, desde la fecha de cierre de la cartola, para cumplir los 56 años de edad si es hombre y los 51 años de edad si es mujer.
meses2 = Número de meses que le faltan al afiliado, desde la fecha de cierre de la cartola, para cumplir los 36 años de edad.
meses3 = 192 meses si el afiliado es hombre. 132 meses si el afiliado es mujer.
m1= Número de meses que le faltan al afilado desde la fecha de cierre de la cartola hasta cumplir los 37, 38, 39 o 40 años, según corresponda.
rS= Tasa de rentabilidad real mensual proyectada del Fondo seleccionado (A, B, C, D o E) para la cuenta respectiva.
rA= Tasa de rentabilidad real mensual proyectada para el Fondo A.
rB= Tasa de rentabilidad real mensual proyectada para el Fondo B.
rC= Tasa de rentabilidad real mensual proyectada para el Fondo C.
rD= Tasa de rentabilidad real mensual proyectada para el Fondo D.
rE= Tasa de rentabilidad real mensual proyectada para el Fondo E.
BR = Valor actualizado en pesos del Bono de Reconocimiento, a la fecha de cierre de la cartola.
rBR= Tasa de reajuste mensual del Bono de Reconocimiento: 0,003273739782(corresponde a un 4% real anual).
IAV = Ingreso imponible de afiliado voluntario: Se considerará como ingreso imponible de los afiliados voluntarios, el dinero resultante del promedio de las últimas 3 cotizaciones mensuales continuas o discontinuas en la Administradora, descontado el monto correspondiente a comisiones, multiplicado por diez.
RIP = Caso 1: Renta o Remuneración Imponible Promedio en pesos para las últimas 6 cotizaciones, reajustadas mediante IPC a la fecha de cierre de la cartola. Es importante recalcar que RIP no corresponde a la remuneración imponible promedio de los 6 últimos períodos (que podría incluir meses en los que no se registren cotizaciones), sino al promedio de remuneraciones de las 6 últimas veces que el afiliado cotizó.
Para realizar este cálculo, las Administradoras deberán considerar las cotizaciones realizadas hasta 3 años antes de la fecha de cierre de la cartola. Si el afiliado tuviese menos de 6 cotizaciones en este período, se utilizará el promedio de éstas.
Caso 2: Si no se encuentran cotizaciones realizadas en este período para un individuo en particular, se utilizará como RIP el ingreso mínimo vigente a la fecha de cierre de la cartola.
Para los afiliados que hayan seleccionado dos tipos de Fondos, se deberán aplicar las mismas fórmulas para la proporción de saldo destinado a cada tipo de Fondo definidas en el punto 1.1 y posteriormente considerarlas en la sumatoria del Saldo Total proyectado al momento de pensionarse. En cuanto a las nuevas cotizaciones a partir del cierre de cartola, para efectos de la proyección se considerarán efectuadas en el Fondo seleccionado de menor riesgo.
b) Para el grupo de afiliados a quienes les falta menos de 10 años para cumplir la edad legal de pensión, se presentarán los dos escenarios siguientes de Proyección de Pensión Personalizada (PPP): escenarios C y D.
iii. Escenario C
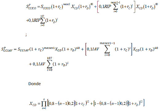
En este escenario se considera que el afiliado cotiza la mitad de los meses para su cuenta de capitalización individual de cotizaciones obligatorias o cuenta de capitalización individual de afiliado voluntario y, cuando corresponda, para la cuenta de capitalización individual de cotizaciones voluntarias y para la cuenta de capitalización individual de ahorro voluntario colectivo, hasta cumplir la edad legal, pensionándose en ese momento. Para el cálculo de su saldo al momento de pensionarse es necesario considerar la proyección del saldo en la cuenta de capitalización individual de cotizaciones obligatorias, el saldo de la cuenta de capitalización individual de afiliado voluntario, el saldo en la cuenta de capitalización individual de cotizaciones voluntarias, el saldo en la cuenta individual de ahorro previsional voluntario colectivo, el saldo en la cuenta de capitalización individual de depósitos convenidos y el bono de reconocimiento, cuando corresponda. Para las cotizaciones obligatorias, las cotizaciones de afiliados voluntarios, las cotizaciones voluntarias y los aportes de ahorro previsional voluntario colectivo se considerará tanto el saldo que el afiliado tenga al momento del cálculo como la proyección de las futuras cotizaciones. Por su parte, se considera el saldo acumulado en la cuenta de capitalización individual de depósitos convenidos al cierre de cartola.
1. Para la proyección del saldo en la cuenta de capitalización individual de cotizaciones obligatorias y la cuenta de capitalización individual de afiliado voluntario, se utilizarán las siguientes fórmulas:
1.1 Para afiliados que seleccionaron un Fondo de Pensiones
1.1.1 Si el Fondo seleccionado es distinto al Fondo A:
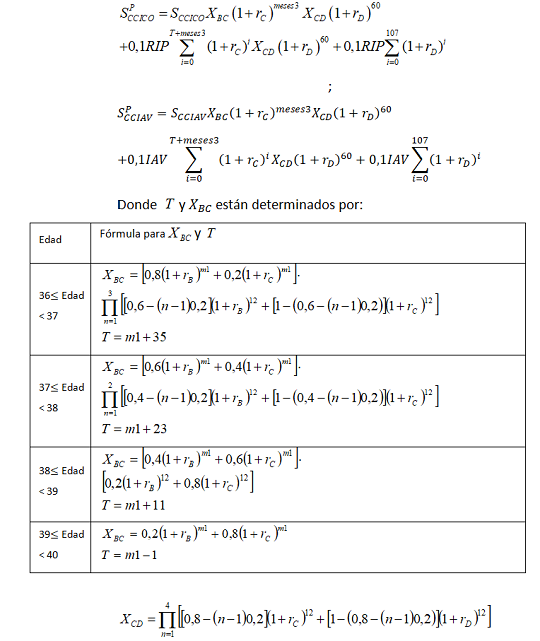
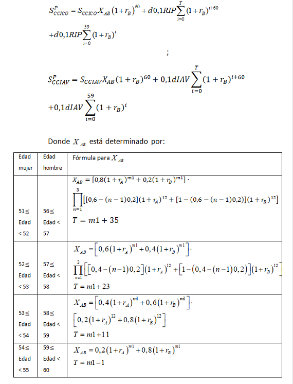
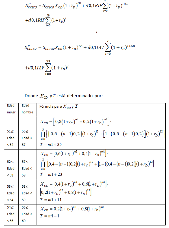
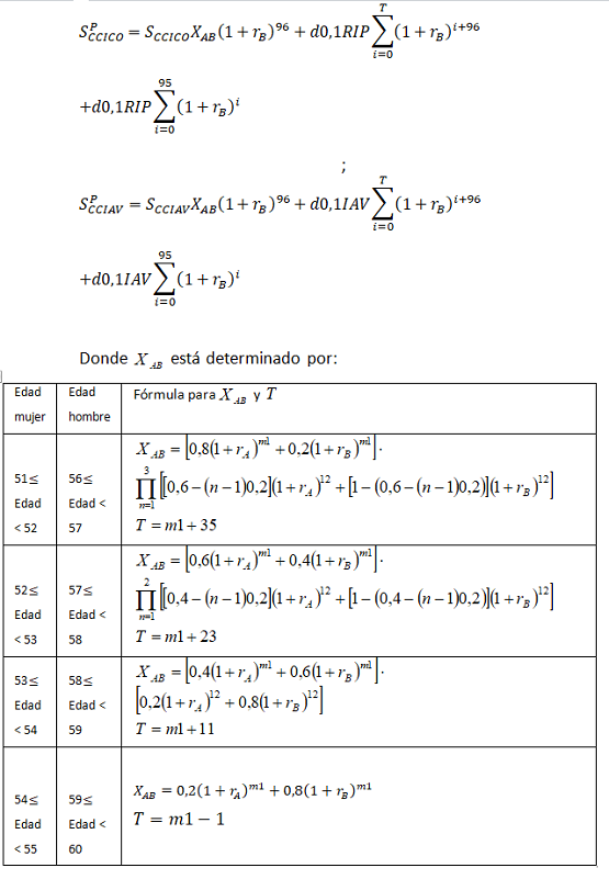
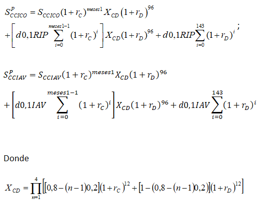
1.1.2 Si el Fondo seleccionado es el fondo A y la edad del afiliado al cierre de la cartola es mayor o igual a 55 años y 1 mes y menor a 56 años en el caso de los hombres y en el caso de las mujeres mayor o igual a 50 años 1 mes y menor a 55 años:
1.1.3 Si el Fondo seleccionado es el fondo A y la edad del afiliado al cierre de la cartola es mayor o igual a 56 y menor a 60 años en el caso de los hombres y en el caso de las mujeres mayor o igual a 51 y menor a 55 años:
1.2 Para afiliados que han sido asignados a un fondo según su edad
1.2.1 Si la edad del afiliado es mayor o igual a 55 años y 1 mes y menor a 56 años en el caso de los hombres, y en el caso de las mujeres mayor o igual a 50 años y 1 mes y menor a 51 años:
1.2.2 Si la edad del afiliado al cierre de la cartola es mayor o igual a 56 y menor a 60 años en el caso de los hombres y en el caso de las mujeres mayor o igual a 51 y menor a 55 años:
1.2.3 Si la edad del afiliado al cierre de la cartola es mayor o igual a 55 años para las mujeres y mayor o igual a 60 años para el caso de los hombres:
2. Para la proyección del saldo en las cuentas de capitalización individual de cotizaciones voluntarias, de capitalización individual de depósitos convenidos y en la cuenta individual Ahorro Previsional Voluntario Colectivo, se utiliza la siguiente fórmula:
Finalmente, utilizando lo señalado en los puntos 1 y 2, el saldo total proyectado al momento de pensionarse está determinado por:
Donde:
SCCICO = Saldo en pesos de la Cuenta de Capitalización Individual de Cotizaciones Obligatorias (CCICO), a la fecha de cierre de la cartola.
SCCIAV = Saldo en pesos de la Cuenta de Capitalización Individual de Afiliado Voluntario (CCIAV), a la fecha de cierre de la cartola.
SCCIDC = Saldo en pesos de la Cuenta de Capitalización Individual de Depósitos Convenidos (CCIDC), a la fecha de cierre de la cartola.
SCCICV = Saldo en pesos de la Cuenta de Capitalización Individual de Cotizaciones Voluntarias (CCICV), a la fecha de cierre de la cartola.
SCAPVC = Saldo en pesos de la Cuenta Individual de Ahorro Previsional Voluntario Colectivo (CAPVC), a la fecha de cierre de la cartola. Incluye aportes del trabajador y aportes del empleador de propiedad del trabajador.
SPCCICO = Saldo proyectado de la Cuenta de Capitalización Individual de Cotizaciones Obligatorias (CCICO) al momento de pensionarse.
SPCCIAV = Saldo proyectado de la Cuenta de Capitalización Individual de Afiliado Voluntario (CCIAV) al momento de pensionarse.
meses = Número de meses que le faltan al afiliado, desde la fecha de cierre de la cartola, para cumplir la edad legal para pensionarse.
meses1= Número de meses que le faltan al afiliado, desde la fecha de cierre de la cartola, para cumplir los 56 años de edad si es hombre y los 51 años de edad si es mujer.
meses2 = Número de meses que le faltan al afiliado, desde la fecha de cierre de la cartola, para cumplir los 36 años de edad.
meses3 = 192 meses si el afiliado es hombre. 132 meses si el afiliado es mujer.
m1= Número de meses que le faltan al afiliado desde la fecha de cierre de la cartola hasta cumplir 57, 58, 59 o 60 años, según corresponda, en el caso de los hombres y 52, 53, 54 0 55 años, según corresponda, en el caso de las mujeres.
rS = Tasa de rentabilidad real mensual del Fondo seleccionado (A, B, C, D o E) para la cuenta respectiva.
rA = Tasa de rentabilidad real proyectada mensual para el Fondo A.
rB = Tasa de rentabilidad real proyectada mensual para el Fondo B.
rC= Tasa de rentabilidad real proyectada mensual para el Fondo C.
rD = Tasa de rentabilidad real proyectada mensual para el Fondo D.
rE = Tasa de rentabilidad real proyectada mensual para el Fondo E.
BR = Valor actualizado en pesos del Bono de Reconocimiento, a la fecha de cierre de la cartola.
rBR = Tasa de reajuste mensual del Bono de Reconocimiento: 0,003273739782(corresponde a un 4% real anual).
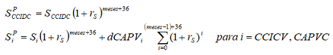
d = Densidad de cotizaciones del afiliado = 0,5.
CAPVi = Promedio de cotizaciones para APV si subíndice "í" es CCICV y promedio de cotizaciones para APVC si subíndice "i" es CAPVC, en los mismos meses en los que se registró remuneración imponible (RIP).
IAV = Ingreso imponible de afiliado voluntario: Se considerará como ingreso imponible de los afiliados voluntarios, el dinero resultante del promedio de las últimas 3 cotizaciones mensuales continuas o discontinuas en la Administradora, descontado el monto correspondiente a comisiones, multiplicado por diez.
RIP = Caso 1: Renta o Remuneración Imponible Promedio en pesos para las últimas 6 cotizaciones, reajustadas mediante IPC a la fecha de cierre de la cartola. Es importante recalcar que RIP no corresponde a la remuneración imponible promedio de los 6 últimos períodos (que podría incluir meses en los que no se registren cotizaciones), sino al promedio de remuneraciones de las 6 últimas veces que el afiliado cotizó.
Para realizar este cálculo, las Administradoras deberán considerar las cotizaciones realizadas hasta 3 años antes de la fecha de cierre de la cartola. Si el afiliado tuviese menos de 6 cotizaciones en este período, se utilizará el promedio de éstas.
Caso 2: Si no se encuentran cotizaciones realizadas en este período para un individuo en particular, se utilizará como RIP el ingreso mínimo vigente a la fecha de cierre de la cartola.
Para los afiliados que hayan seleccionado dos tipos de Fondos, se deberán aplicar las mismas fórmulas para la proporción de saldo destinado a cada tipo de Fondo definidas en el punto 1.1 y posteriormente considerarlas en la sumatoria del Saldo Total proyectado al momento de pensionarse. En cuanto a las nuevas cotizaciones a partir del cierre de cartola, para efectos de la proyección se considerarán efectuadas en el Fondo seleccionado de menor riesgo.
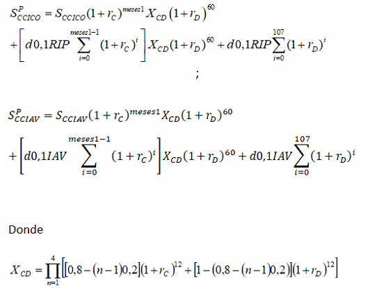
iv. Escenario D
En este escenario se considera que el afiliado cotiza la mitad de los meses hasta cumplir 3 años más que la edad legal, para su cuenta de capitalización individual de cotizaciones obligatorias o para su cuenta de capitalización individual de afiliado voluntario y, cuando corresponda, para la cuenta de capitalización individual de cotizaciones voluntarias y para la cuenta de capitalización individual de ahorro voluntario colectivo. Para el cálculo de su saldo al momento de pensionarse es necesario considerar la proyección del saldo en la cuenta de capitalización individual de cotizaciones obligatorias, el saldo en la cuenta de capitalización individual de afiliado voluntario, el saldo en la cuenta de capitalización individual de cotizaciones voluntarias, el saldo en la cuenta individual de ahorro previsional voluntario colectivo, el saldo en la cuenta de capitalización individual de depósitos convenidos y el bono de reconocimiento, cuando corresponda. Para las cotizaciones obligatorias, las cotizaciones de afiliados voluntarios, las cotizaciones voluntarias y los aportes de ahorro previsional voluntario colectivo se considerará tanto el saldo que el afiliado tenga al momento del cálculo, como la proyección de las futuras cotizaciones. Por su parte, se considera el saldo acumulado en la cuenta de capitalización individual de depósitos convenidos al cierre de cartola.
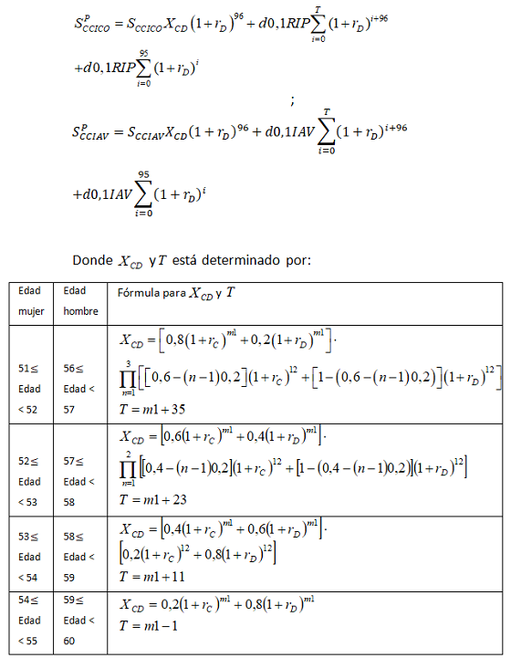
1. Para la proyección del saldo en la cuenta de capitalización individual de cotizaciones obligatorias y la cuenta de capitalización individual de afiliado voluntario, se utilizarán las siguientes fórmulas:
1.1 Para afiliados que seleccionaron un Fondo de Pensiones
1.1.1 Si el Fondo seleccionado es distinto al Fondo A:
1.1.2 Si el Fondo seleccionado es el fondo A y la edad del afiliado al cierre de la cartola es mayor o igual a 55 años y 1 mes y menor a 56 años en el caso de los hombres y en el caso de las mujeres mayor o igual a los 50 años y 1 mes y menor a 51 años:
1.1.3 Si el Fondo seleccionado es el fondo A y la edad del afiliado al cierre de la cartola es mayor o igual a 56 y menor a 60 años en el caso de los hombres y en el caso de las mujeres mayor o igual a los 51 y menor 55 años:
1.2 Para afiliados que han sido asignados a un Fondo según su edad
1.2.1 Si la edad del afiliado es mayor o igual a 55 años y 1 mes y menor a 56 años en el caso de los hombres, y mayor o igual a 50 años y 1 mes y menor a 51 años en el caso de las mujeres:
1.2.2 Si la edad del afiliado al cierre de la cartola es mayor o igual a 56 y menor a 60 años en el caso de los hombres y en el caso de las mujeres mayor o igual a 51 y menor a 55 años:
1.2.3 Si la edad del afiliado al cierre de la cartola es mayor o igual a 55 años para las mujeres y mayor o igual a 60 años para el caso de los hombres:
2. Para la proyección del saldo en las cuentas de capitalización individual de cotizaciones voluntarias, de capitalización individual de depósitos convenidos y en la cuenta individual de Ahorro Previsional Voluntario Colectivo, se utiliza la siguiente fórmula:
Finalmente, utilizando lo señalado en los puntos 1 y 2, el saldo total proyectado al momento de pensionarse está determinado por:
Donde:
SCCICO = Saldo en pesos de la Cuenta de Capitalización Individual de Cotizaciones Obligatorias (CCICO), a la fecha de cierre de la cartola.
SCCIAV = Saldo en pesos de la Cuenta de Capitalización Individual de Afiliado Voluntario (CCIAV), a la fecha de cierre de la cartola.
SCCIDC = Saldo en pesos de la Cuenta de Capitalización Individual de Depósitos Convenidos (CCIDC), a la fecha de cierre de la cartola.
SCCICV = Saldo en pesos de la Cuenta de Capitalización Individual de Cotizaciones Voluntarias (CCICV), a la fecha de cierre de la cartola.
SCAPVC = Saldo en pesos de la Cuenta Individual de Ahorro Previsional Voluntario Colectivo (CAPVC), a la fecha de cierre de la cartola. Incluye aportes del trabajador y aportes del empleador de propiedad del trabajador.
SPCCICO = Saldo proyectado de la Cuenta de Capitalización Individual de Cotizaciones Obligatorias (CCICO) al momento de pensionarse.
SPCCIAV = Saldo proyectado de la Cuenta de Capitalización Individual de Afiliado Voluntario (CCIAV) al momento de pensionarse.
meses = Número de meses que le faltan al afiliado, desde la fecha de cierre de la cartola, para cumplir la edad legal para pensionarse.
meses1= Número de meses que le faltan al afiliado, desde la fecha de cierre de la cartola, para cumplir los 56 años de edad si es hombre y los 51 años de edad si es mujer.
meses2 = Número de meses que le faltan al afiliado, desde la fecha de cierre de la cartola, para cumplir los 36 años de edad.
meses3 = 192 meses si el afiliado es hombre. 132 meses si el afiliado es mujer.
m1= Número de meses que le faltan al afiliado desde la fecha de cierre de la cartola hasta cumplir 57, 58, 59 o 60 años, según corresponda, en el caso de los hombres y 52, 53, 54 o 55 años, según corresponda, en el caso de las mujeres.
rS = Tasa de rentabilidad real mensual del fondo seleccionado (A, B, C, D o E) para la cuenta respectiva.
rA = Tasa de rentabilidad real proyectada mensual para el Fondo A.
rB = Tasa de rentabilidad real proyectada mensual para el Fondo B.
rC = Tasa de rentabilidad real proyectada mensual para el Fondo C.
rD = Tasa de rentabilidad real proyectada mensual para el Fondo D.
rE = Tasa de rentabilidad real proyectada mensual para el Fondo E.
BR = Valor actualizado en pesos del Bono de Reconocimiento, a la fecha de cierre de la cartola.
rBR = Tasa de reajuste mensual del Bono de Reconocimiento: 0,003273739782(corresponde a un 4% real anual).
d = Densidad de cotizaciones del afiliado = 0,5.
CAPVi = Promedio de cotizaciones para APV si subíndice "í" es CCICV y promedio de cotizaciones para APVC si subíndice "i" es CAPVC, en los mismos meses en los que se registró remuneración imponible (RIP).
IAV = Ingreso imponible de afiliado voluntario: Se considerará como ingreso imponible de los afiliados voluntarios, el dinero resultante del promedio de las últimas 3 cotizaciones mensuales continuas o discontinuas en la Administradora, descontado el monto correspondiente a comisiones, multiplicado por diez.
RIP = Caso 1: Renta o Remuneración Imponible Promedio en pesos para las últimas 6 cotizaciones, reajustadas mediante IPC a la fecha de cierre de la cartola. Es importante recalcar que RIP no corresponde a la remuneración imponible promedio de los 6 últimos períodos (que podría incluir meses en los que no se registren cotizaciones), sino al promedio de remuneraciones de las 6 últimas veces que el afiliado cotizó.
Para realizar este cálculo, las Administradoras deberán considerar las cotizaciones realizadas hasta 3 años antes de la fecha de cierre de la cartola. Si el afiliado tuviese menos de 6 cotizaciones en este período, se utilizará el promedio de éstas.
Caso 2: Si no se encuentran cotizaciones realizadas en este período para un individuo en particular, se utilizará como RIP el ingreso mínimo vigente a la fecha de cierre de la cartola.
Para los afiliados que hayan seleccionado dos tipos de Fondos, se deberán aplicar las mismas fórmulas para la proporción de saldo destinado a cada tipo de Fondo definidas en el punto 1.1 y posteriormente considerarlas en la sumatoria del Saldo Total proyectado al momento de pensionarse. En cuanto a las nuevas cotizaciones a partir del cierre de cartola, para efectos de la proyección se considerarán efectuadas en el Fondo seleccionado de menor riesgo.
2. Cálculo de la Proyección de Pensión Personalizada
La Proyección de Pensión Personalizada se calculará como una renta vitalicia inmediata, sin condiciones especiales de cobertura, con las siguientes características:
a) Se utilizarán las tablas de mortalidad vigentes.
b) Para las personas que están a 20 o más años del retiro, se ocupará la tasa de interés implícita proyectada para las rentas vitalicias de vejez informada por la Superintendencia de Pensiones. Por su parte, para las personas que están a menos de 20 años del retiro, los CNU se calcularán utilizando una tasa que se calcula como una combinación lineal entre la tasa de interés implícita proyectada para las rentas vitalicias de vejez informada por la Superintendencia de Pensiones y la tasa de interés media efectiva de las rentas vitalicias de vejez informada por la Superintendencia de Pensiones (http://www.spensiones.cl/apps/tasas/tasasRentasVitalicias.php). Para este último valor, se debe utilizar la última tasa publicada.
Donde Nretiro es el número de años que le restan al individuo para retirarse.
c) Para el caso de la mujer se considerará que posee un cónyuge 2 años mayor, mientras que para el hombre se considerará una cónyuge 2 años menor.
d) El valor de la pensión a informar será el de la pensión imponible.



























