Inicio >
Regulación y fiscalización >
Normativa del Sistema de Pensiones >
Compendio de Pensiones >
Libro IV Fondos de Pensiones y Regulación de Conflictos de Intereses > Título VIII Informes Diarios que deben presentar las Administradoras de Fondos de Pensiones > Anexos > Anexo Nº 1 Formularios del Informe Diario
- Administración de Cuentas Personales
- Administración de Riesgo
- Administradora de Fondos de Pensiones
- Afiliación a una A.F.P.
- Afiliación Múltiple
- Afiliación voluntaria
- Afiliado
- Agencia
- Agente de Venta
- Ahorro Previsional Colectivo
- Ahorro Previsional Voluntario
- Aporte Previsional
- Archivo
- Archivo Centralizado
- Archivo previsional
- Asesoría Previsional
- Aviso
- Base de Datos
- Beneficio Previsional
- Bonificación
- Bonificación Hijo
- Bono de Reconocimiento
- Cartera de Inversión
- Centro Atención Previsional Integral
- Centro de Servicio
- Cobranza Judicial
- Comisión Máxima
- Compensación
- Compensación Económica
- Conflicto de Interés
- Contabilidad
- Convenio de pago
- Convenio Internacional
- Cónyuge
- Costo previsional
- Cotización
- Cotización voluntaria
- Cuenta de ahorro de administración
- Cuenta de ahorro de indemnización
- Cuenta de ahorro voluntario
- Cuenta de capitalización individual
- Cuenta de rezago
- Cuenta personal
- Cuota de Fondo de Pensión
- Custodia
- Declaración
- Depósito convenido
- Depósito de Ahorro Previsional Colectivo
- Déposito de Ahorro Previsional Voluntario
- Desafiliación
- Descripción registro de archivo
- Deuda previsional
- Devolución de pago
- Dirección de Previsión de Carabineros de Chile
- Director
- Empleador
- Encaje
- Estadística general
- Estado de Cambio
- Estado de Cuenta Personal
- Exención de pago
- Extranjero
- Fondos de Pensiones
- Formulario Único de Notificación
- Garantía Estatal
- Gendarmería de Chile
- Informe Diario
- Informe estadístico
- Informe Financiero
- Instituto de Normalización Previsional
- Instituto de Previsión Social
- Instrumento Financiero
- Internet
- Inversión Fondo de Pensión
- Junta de Accionistas
- Licitación
- Listado Público
- Mandatario de afiliado
- Mandato
- Memoria anual
- Microcopia
- Mortalidad
- Obligación Administradora
- Obligación Compañía Seguros de Vida
- Pacto de indemnización sustitutiva
- Pensión Básica
- Pensión de Invalidez
- Pensión de Sobrevivencia
- Pensión de Vejez
- Perjuicio
- Planilla de declaración
- Planilla de pago
- Prohibición de Discriminación
- Promotor
- Proyección
- Publicidad
- Reclamo
- Registro histórico
- Rentabilidad
- Renta vitalicia
- Responsabilidad Administradora
- Retiro de Fondos
- Retiro programado
- Seguro de Invalidez y Sobrevivencia
- Servicio de Impuestos Internos
- Sistema Consulta de Oferta
- Sistema de Pensiones de Capitalización Individual
- Sistema Solidario
- Sociedad Anónima
- Subsidio
- Superintendencia de Pensiones
- Superintendencia de Seguridad Social
- Tablas de Mortalidad
- Tesorería General de la República
- Trabajador de casa particular
- Trabajador dependiente
- Trabajador Empresa Carbonífera
- Trabajador independiente
- Trabajador joven
- Trabajo pesado
- Transmisión Electrónica
- Traspaso
- Tratamiento Contable
- Tributación
- Valorización
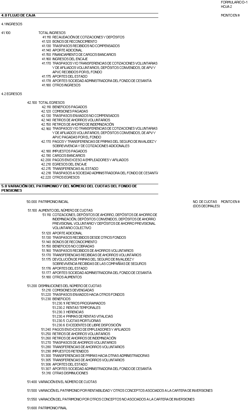
Libro IV, Título VIII Informes Diarios que deben presentar las Administradoras de Fondos de Pensiones, Anexos
Anexo Nº 1 Formularios del Informe Diario
Materias asociadas: Informe Diario
1. Informe Diario

2. Comentarios
Formularios de Transacciones del Informe Diario de los Fondos de Pensiones

Nota de actualización: Este anexo fue modificado por la Norma de Carácter General Nº 14, de fecha 30 de junio de 2011. Posteriormente este anexo fue modificado por las Normas de Carácter General Nº 7, de fecha 3 de junio de 2011 y Nº 98, de fecha 16 de diciembre de 2013. Posteriormente este anexo modificado por la Norma de Carácter General Nº 138, de fecha 11 de marzo de 2015. Posteriormente, este anexo fue modificado por la Norma de Carácter General N° 195, de fecha 16 de febrero de 2017. Posteriormente, este anexo fue modificado por la Norma de Carácter General N° 208, de fecha 25 de octubre de 2017. Posteriormente, este anexo fue modificado por la Norma de Carácter General Nº 242, de fecha 16 de mayo de 2019. Posteriormente, este anexo fue modificado por la Norma de Carácter General Nº 256, de fecha 27 de diciembre de 2019. Posteriormente, fue modificado por por la Norma de Carácter General Nº 300, de fecha 30 de junio de 2022.
- Libro I Afiliación al Sistema de Pensiones del D.L. N° 3.500 de 1980
- Título I Afiliación e Incorporación a una Administradora de Fondos de Pensiones
- Título II Desafiliación
- Título III Administración de Cuentas Personales
- Título IV Estados de Cuenta Personal
- Título V Cuenta de Ahorro de Indemnización
- Título VI Archivo Previsional
- Título VII Reclamos: Anomalías en Afiliación, Cuentas Personales, Cotizaciones y Traspasos
- Título VIII Perjuicios causados a los Afiliados en su Cuenta de Capitalización Individual por hechos u omisiones imputables a la Administradora
- Título IX Información sobre Rentabilidad de la Cuota de los Fondos de Pensiones y Costo Previsional
- Título X Contratos de Traspasos futuros de Cuentas Personales entre Tipos de Fondos de Pensiones según edad
- Libro II Cotizaciones Previsionales
- Título I Cotizaciones y Aportes Previsionales por desempeño de Trabajos Pesados
- Título II Cotizaciones Voluntarias, Depósitos Convenidos y Ahorro Previsional Voluntario
- Título III Depósitos Convenidos
- Título IV Regulación conjunta de los Depósitos de Ahorro Previsional Voluntario Colectivo
- Título V Bonificación del Articulo 20 del D.L N° 3500 de 1980
- Título VI Tributación de la Cuenta de Ahorro Voluntario
- Título VII Traspaso de Fondos por Compensación Económica y por leyes especiales
- Título VIII Pago de las cotizaciones
- Título IX Cobranza de cotizaciones previsionales
- Título X Información de empleadores que deben proporcionar las AFP
- Título XI Exención de pago de cotizaciones previsionales a técnicos extranjeros y las empresas que los contraten. Devolución de fondos previsionales
- Título XII Subsidio al empleo de la Ley N° 20.338. Instrucciones a las Administradoras de Fondos de Pensiones y al Instituto de Previsión Social respecto de la información a entregar sobre el pago de cotizaciones
- Título XIII El Subsidio a los Trabajadores Jóvenes
- Título XIV Regulaciones comunes en relación al intercambio de información entre las Administradoras de Fondos de Pensiones, el Servicio de Impuestos Internos y la Tesorería General de la República, referidas a la obligación de cotizar de los trabajadores independientes
- Título XV Subsidio al Empleo de la Mujer de la Ley N° 20.595. Instrucciones a las Administradoras de Fondos de Pensiones y al Instituto de Previsión Social respecto de la Información a entregar sobre el Pago de Cotizaciones
- Libro III Beneficios Previsionales
- Título I Pensiones
- Título II Sistema de Consultas y Ofertas de Montos de Pensión
- Título III Bono de Reconocimiento
- Título IV Otorgamiento de Beneficios Previsionales en virtud de los convenios internacionales sobre seguridad social
- Título V Sistema Solidario de Pensiones
- Título VI Garantía Estatal por Pensión Mínima
- Título VII Bonificación por Hijo Nacido Vivo para las mujeres
- Título VIII Indemnización Compensatoria, Artículos 11 y 12 de la Ley N° 19.129 para los Trabajadores de las Empresas Carboníferas
- Título IX Proyección de Pensión Personalizada del Afiliado
- Título X Tablas de Mortalidad
- Título XI Instrucciones para emitir listado público de potenciales pensionados y solicitantes de pensión, Artículo 72 bis del D.L. N° 3.500, de 1980
- Título XII Estadísticas de afiliados pensionados
- Título XIII Archivo Centralizado de Expedientes de Calificación de Invalidez
- Título XIV Aporte Ley Nº 18.675
- Título XV Normas transitorias para el otorgamiento de pensiones y otros beneficios previsionales causados con anterioridad al 01-01-1988
- Título XVI Bonificación de Salud para Pensiones, Ley Nº 20.531
- Libro IV Fondos de Pensiones y Regulación de Conflictos de Intereses
- Título I Inversión de los Fondos de Pensiones, Políticas de Inversión y Solución de Conflictos de Interés
- Título II Inversión de los Fondos de Pensiones en el extranjero
- Título III Valorización de las Inversiones del Fondo de Pensiones y del Encaje
- Título IV Comisiones Máximas que pueden ser pagadas con cargo a los Fondos de Pensiones
- Título V Publicación de la Composición de Cartera de Inversión de los Fondos de Pensiones
- Título VI Normas para la entrega de información de las Carteras de Inversión
- Título VII Contabilidad de los Fondos de Pensiones y de las Administradoras de Fondos de Pensiones
- Título VIII Informes Diarios que deben presentar las Administradoras de Fondos de Pensiones
- Título IX Directores y Juntas de Accionistas, Juntas de Tenedores de Bonos y Asambleas de Aportantes de Fondos de Inversión
- Título X Conflictos de Intereses
- Título XI Instrucciones en materia de prevención de lavado de activos y financiamiento del terrorismo
- Libro V Aspectos Administrativos y Operacionales de las Administradoras de Fondos de Pensiones y del Instituto de Previsión Social
- Título I Formación de una Administradora de Fondos de Pensiones
- Título II Constitución y Autorización de Existencia de Sociedades Anónimas cuyo giro sea la Administración de Recursos Previsionales
- Título III Servicios y Publicidad de las Administradoras de Fondos de Pensiones
- Título IV Centros de Atención Previsional Integral, CAPRI
- Título V Contratación de Servicios por las Administradoras de Fondos de Pensiones y el Instituto de Previsión Social
- Título VI Licitación del Servicio de Administración de Cuentas de Capitalización Individual
- Título VII Contratación del Seguro de Invalidez y Sobrevivencia
- Título VIII Asesoría Previsional
- Título IX Archivo de Promotores, Agentes de Ventas y Personal de Atención de Público de las Administradoras
- Título X Estadística de Afiliados y Cotizantes
- Título XI Base de Datos de Afiliados, Cotizantes, Beneficiarios, Pensionados y Fallecidos
- Título XII Recepción y envío de archivos por Transmisión Electrónica
- Título XIII Microcopia o Micrograbación y destrucción de Documentos
- Título XIV Instrucciones sobre Administración de Riesgo en las Administradoras de Fondos de Pensiones
- Título XV Información de las Sociedades del Grupo Empresarial de la Administradora
- Título XVI Designación del representante de las Administradoras de Fondos de Pensiones en la Comisión de Usuarios del Sistema de Pensiones
- Título XVII Instrucciones sobre Administración de Riesgo en el Instituto de Previsión Social
- Título XVIII Sistema de Gestión de Seguridad y Ciberseguridad de las Administradoras de Fondos de Pensiones
